Tags
- SQL
- count
- delete
- drf
- 백트래킹
- M:N
- Queue
- Vue
- Django
- 큐
- 쟝고
- ORM
- N:1
- migrations
- 뷰
- update
- 스택
- regexp
- DB
- distinct
- 트리
- 그리디
- Tree
- Article & User
- 완전검색
- stack
- 통계학
- create
- 이진트리
- outer join
| 일 | 월 | 화 | 수 | 목 | 금 | 토 |
|---|---|---|---|---|---|---|
| 1 | 2 | 3 | ||||
| 4 | 5 | 6 | 7 | 8 | 9 | 10 |
| 11 | 12 | 13 | 14 | 15 | 16 | 17 |
| 18 | 19 | 20 | 21 | 22 | 23 | 24 |
| 25 | 26 | 27 | 28 | 29 | 30 | 31 |
Notice
Recent Posts
Link
데이터 분석 기술 블로그
트리 - 이진트리1 본문
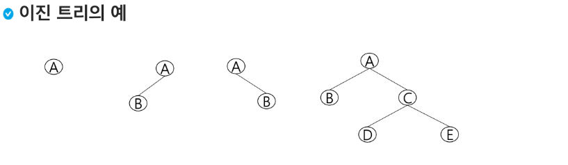
1. 이진트리
- 모든 노드들이 2개의 서브트리를 갖는 특별한 형태의 트리
- 각 노드가 자식 노드를 최대한 2개까지만 가질 수 있는 트리
- 왼쪽 자식 노드(left child node)
- 오른쪽 자식 노드(right child node)

2. 이진트리의 특성
- 레벨 i에서의 노드의 최대 개수는 2i개

3. 포화 이진 트리



4. 이진트리의 순회(traversal)
- 순회(traversal)란 트리의 각 노드를 중복되지 않게 전부 방문(visit)하는 것을 ㅁ라하는데 트리는 비 선형 구조이기 때문에 선형구조에서와 같이 선후 연결 관계를 알 수 없습니다.
- 따라서 특별한 방법이 필요합니다.
- 순회(traversal) : 트리의 노드들을 체계적으로 방문하는 것입니다.
- 3가지의 기본적인 순회 방법으로는
- 전위 순회(preorder traversal) : VLR로 부모노드 방문 후, 자식노드를 좌, 우 순서로 방문합니다.
- 중위 순회(inorder traversal) : LVR로 왼쪽 자식노드, 부모노드, 오른쪽 자식노드 순으로 방문합니다.
- 후위 순회(postorder traversal) : LRV로 자식노드를 좌우 순서로 방문한 후, 부모노드로 방문합니다.






5. 이진트리의 표현




'데이터 사이언스 > 알고리즘' 카테고리의 다른 글
| 트리 - 이진트리3 (0) | 2024.06.15 |
|---|---|
| 트리 - 이진트리2 (0) | 2024.06.14 |
| 트리(Tree) (2) | 2024.06.12 |
| 큐 - BFS(Breadth First Search) (0) | 2024.06.11 |
| 큐 - 버퍼(Buffer) (0) | 2024.06.10 |