Tags
- update
- Queue
- 백트래킹
- outer join
- 완전검색
- drf
- 이진트리
- Django
- stack
- Tree
- SQL
- M:N
- 그리디
- 스택
- regexp
- 트리
- 쟝고
- 통계학
- 뷰
- Article & User
- migrations
- DB
- ORM
- count
- delete
- create
- distinct
- 큐
- Vue
- N:1
| 일 | 월 | 화 | 수 | 목 | 금 | 토 |
|---|---|---|---|---|---|---|
| 1 | 2 | 3 | ||||
| 4 | 5 | 6 | 7 | 8 | 9 | 10 |
| 11 | 12 | 13 | 14 | 15 | 16 | 17 |
| 18 | 19 | 20 | 21 | 22 | 23 | 24 |
| 25 | 26 | 27 | 28 | 29 | 30 | 31 |
Notice
Recent Posts
Link
데이터 분석 기술 블로그
What is a Random Variable? (확률 변수란?) 본문
확률 변수란?
확률 변수(Random Variable)는 어떤 확률적인 실험에서 가능한 결과를 숫자로 변환하는 변수다.
즉, 확률적으로 결정되는 값을 의미한다.

확률 변수의 개념
확률 변수는 실험 결과를 수학적으로 표현하기 위해 사용된다.
예를 들어, 동전을 던지는 실험에서:
- 앞면이 나오면 1,
- 뒷면이 나오면 0
이렇게 숫자로 변환하면 확률 변수가 된다.
확률 변수의 두 가지 유형
(1) 이산 확률 변수 (Discrete Random Variable)
- 정해진 개수의 값만 가질 수 있는 확률 변수.
- 주어진 값 이외의 값은 존재하지 않음.
- 예:
- 동전 던지기: X = {0(뒷면), 1(앞면)}
- 주사위 던지기: X = {1, 2, 3, 4, 5, 6}
- 한 가게의 하루 방문 고객 수: X = {0, 1, 2,...}
(2) 연속 확률 변수 (Continuous Random Variable)
- 특정 구간에서 무한한 값을 가질 수 있음.
- 실수(real number) 값을 가질 수 있음.
- 예:
- 사람의 키: X = {170.1cm, 180.5cm, 165.3cm,...}
- 특정 지역의 기온: X = {23.12°C, 24.56°C,...}
- 달리기 기록(시간): X = {9.58초, 10.21초,...}
확률 변수의 수학적 표현
확률 변수는 보통 대문자 X로 표기하고, 특정 값 x를 가질 확률을 P(X = x)로 표현한다.
예제:
- 동전 던지기에서 앞면이 나올 확률
P(X = 1) = 0.5 - 주사위에서 4가 나올 확률
P(X = 4) = 1/6
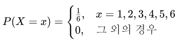
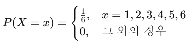
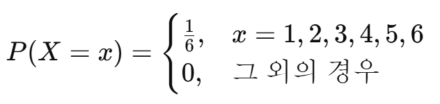
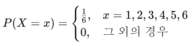
확률 질량 함수 (PMF)
이산 확률 변수는 확률 질량 함수(Probability Mass Function, PMF)로 표현할 수 있다.
PMF는 확률 변수가 특정 값을 가질 확률을 나타내는 함수이다.
예:
주사위를 던졌을 때 각 숫자가 나올 확률은

즉, 이산 확률 변수의 확률은 개별 값에 대해 정의된다.
'데이터 사이언스 > 수리 통계학' 카테고리의 다른 글
| The Categorical Distribution (범주형 분포) (0) | 2025.03.17 |
|---|---|
| The Bernoulli Distribution (베르누이 분포) (0) | 2025.03.16 |
| Probability Tree Diagrams (확률 나무 다이어그램) (0) | 2025.03.14 |
| Mutual Independence (상호 독립) (0) | 2025.03.13 |
| Independence (독립성) (0) | 2025.03.12 |