Tags
- M:N
- N:1
- 트리
- 스택
- migrations
- ORM
- 그리디
- Vue
- 큐
- Article & User
- 이진트리
- outer join
- create
- 완전검색
- SQL
- 백트래킹
- Django
- Queue
- drf
- 쟝고
- Tree
- stack
- distinct
- DB
- count
- delete
- 뷰
- 통계학
- update
- regexp
| 일 | 월 | 화 | 수 | 목 | 금 | 토 |
|---|---|---|---|---|---|---|
| 1 | 2 | 3 | ||||
| 4 | 5 | 6 | 7 | 8 | 9 | 10 |
| 11 | 12 | 13 | 14 | 15 | 16 | 17 |
| 18 | 19 | 20 | 21 | 22 | 23 | 24 |
| 25 | 26 | 27 | 28 | 29 | 30 | 31 |
Notice
Recent Posts
Link
데이터 분석 기술 블로그
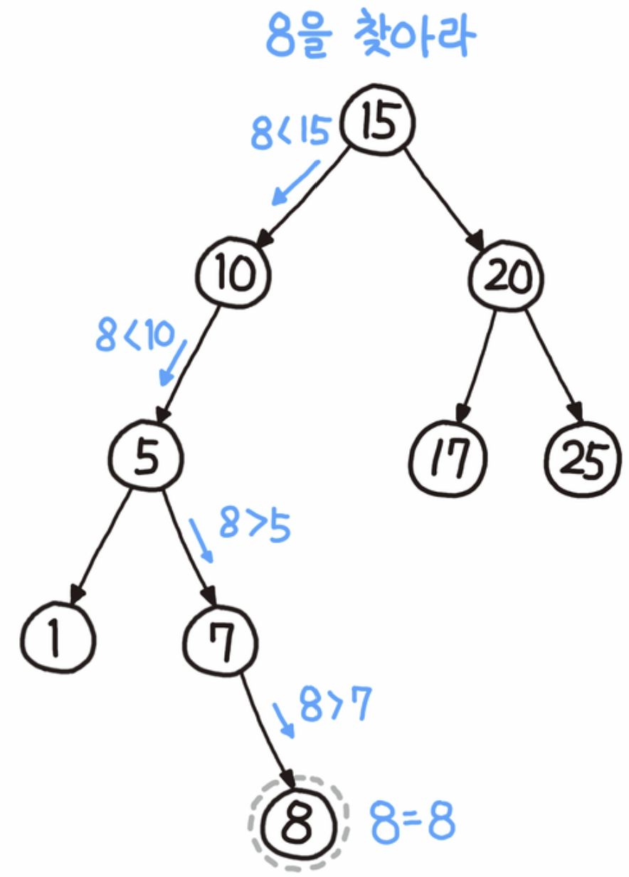
트리 (Tree) 본문
트리 (비선형)
노드와 간선으로 구성된 계층적 자료 구조
- 이진트리: 각 노드가 최대 두 개의 자식을 가짐
- 이진 탐색 트리: 왼쪽 자식은 부모보다 작고, 오른쪽 자식은 부모보다 큼
- 힙: 최소값 / 최댓값을 빠르게 찾기 위한 완전 이진트리 (게임 리더보드)
- 삽입 / 삭제 → O(log n)
- 탐색 → BST는 O(log n) 일반 트리는 O(n)


'데이터 사이언스 > 자료구조' 카테고리의 다른 글
| 해시 테이블 (Hash Table) (0) | 2025.02.08 |
|---|---|
| 그래프 (Graph) (0) | 2025.02.07 |
| 큐 (Queque) (0) | 2025.02.05 |
| 스택 (Stack) (0) | 2025.02.04 |
| 연결 리스트 (Linked List) (0) | 2025.02.03 |