데이터 사이언스/수리 통계학
The Bernoulli Distribution (베르누이 분포)
데이터분석가 이채은
2025. 3. 16. 12:32
베르누이 분포
베르누이 분포(Bernoulli Distribution)는 가장 단순한 확률 분포로, 두 가지 결과(성공 또는 실패)만 가지는 실험을 나타내는 분포이다.

베르누이 시행 (Bernoulli Trial)
베르누이 분포는 한 번의 시행(Experiment)에서 성공 또는 실패 중 하나의 결과만 나오는 경우에 적용된다.
예를 들어:
- 동전 던지기 (앞면=1, 뒷면=0)
- 정답을 맞힐 확률 (정답=1, 오답=0)
- 공장에서 생산된 제품이 정상인지 불량인지 (정상=1, 불량=0)
이처럼 결과가 이진(binary)으로 나뉘는 실험을 베르누이 시행(Bernoulli Trial)이라고 한다.
베르누이 분포의 확률 질량 함수 (PMF)
확률 변수가 X가 베르누이 분포를 따른다면:

여기서:
- p = 성공할 확률 (0 ≤ p ≤ 1)
- 1 − p = 실패할 확률
베르누이 분포의 확률 질량 함수(PMF)는:

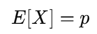
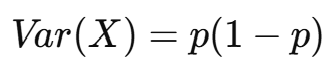
기댓값과 분산
베르누이 분포의 기댓값(평균)과 분산은 다음과 같다:

(즉, 성공 확률 자체가 평균)

(즉, p가 0.5일 때 분산이 최대)
베르누이 분포의 활용
- 의료 테스트: 질병이 있을 확률 (p) vs 없을 확률 (1 − p)
- 광고 클릭 여부: 사용자가 광고를 클릭할 확률
- 기계 학습 (Binary Classification): 이진 분류 모델에서 클래스 확률 예측
예제: 동전 던지기
동전을 던졌을 때 앞면이 나올 확률이 p=0.5p = 0.5라고 하자.
이때 베르누이 분포는:
P(X = 1) = 0.5, P(X = 0) = 0.5
앞면(1)이 나올 확률은 50%, 뒷면(0)이 나올 확률도 50%이다.