데이터 사이언스/수리 통계학
The Poisson Distribution (포아송 분포)
데이터분석가 이채은
2025. 3. 20. 14:24
포아송 분포
포아송 분포(Poisson Distribution)는 특정 시간 또는 공간 내에서 사건이 발생하는 횟수를 모델링하는 확률 분포이다.
일정한 시간 동안 특정 사건이 몇 번 발생하는지를 예측하는 데 사용되므로 주어진 시간 또는 공간에서 발생하는 사건의 수를 세는 데 적합하다.

예시:
- 은행 창구에서 1시간 동안 방문하는 고객 수
- 웹사이트에서 1분 동안 발생하는 방문자 수
- 병원 응급실에 24시간 동안 도착하는 환자 수
- 축구 경기에서 90분 동안 발생하는 골 수
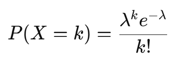
포아송 분포의 확률 질량 함수 (PMF)
확률 변수가 X가 포아송 분포를 따른다면:

포아송 분포의 확률 질량 함수(PMF)는:

여기서:
- = 사건이 발생하는 횟수 (0, 1, 2, 3,...)
- λ = 단위 시간(공간) 당 평균 발생 횟수
- e = 자연상수 (≈ 2.718)
포아송 분포는 k개의 사건이 발생할 확률을 구하는 데 사용된다.
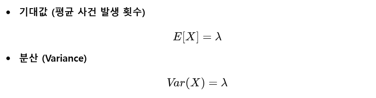
기댓값과 분산
포아송 분포의 기댓값(평균)과 분산은 매우 간단하다:

즉, 포아송 분포에서는 평균과 분산이 동일하다.
포아송 분포의 활용
- 콜센터: 1시간 동안 걸려오는 전화 수 예측
- 교통량 분석: 1시간 동안 도로를 지나가는 차량 수 예측
- 유전자 분석: 특정 DNA 변이가 발생하는 횟수 모델링
- 네트워크 보안: 1시간 동안 발생하는 해킹 시도 횟수 예측
포아송 분포는 "희귀한 사건"이 발생하는 패턴을 분석하는 데 매우 유용하다.
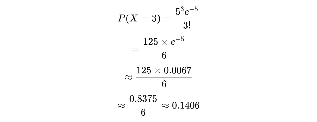
예제 1: 고객 방문 수 예측
한 카페에서 1시간 동안 평균 5명의 고객이 방문한다고 하자.
이때, 1시간 동안 정확히 3명의 고객이 방문할 확률을 구해보자.
여기서:
- λ = 5 (평균적으로 1시간에 5명 방문)
- k = 3 (정확히 3명 방문할 확률을 구하려 함)

즉, 1시간 동안 정확히 3명의 고객이 방문할 확률은 약 14.1%이다.