The Uniform Distribution (균등 분포)
균등 분포
균등 분포(Uniform Distribution)는 모든 값이 동일한 확률로 발생하는 연속 확률 분포이다.
즉, 주어진 범위 내에서 모든 값이 균등한 확률 밀도를 가진다.
연속형 균등 분포 U(a, b: 특정 구간 [a, b]에서 모든 값이 동일한 확률을 가지는 분포.
이산형 균등 분포와 차이점
- 이산형 균등 분포: 특정한 개별 값만 가능 (예: 주사위 던지기 → 1,2,3,4,5,6 중 하나)
- 연속형 균등 분포: 특정 구간 내에서 무한한 값을 가질 수 있음.

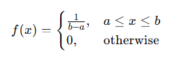
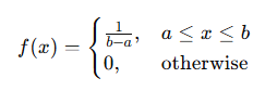
확률 밀도 함수 (PDF)

모든 값이 동일한 확률 밀도를 가진다.
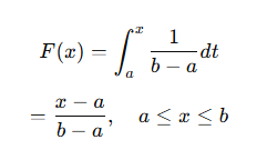
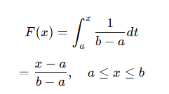
누적 분포 함수 (CDF)

즉, x가 증가할수록 누적 확률도 선형적으로 증가한다.
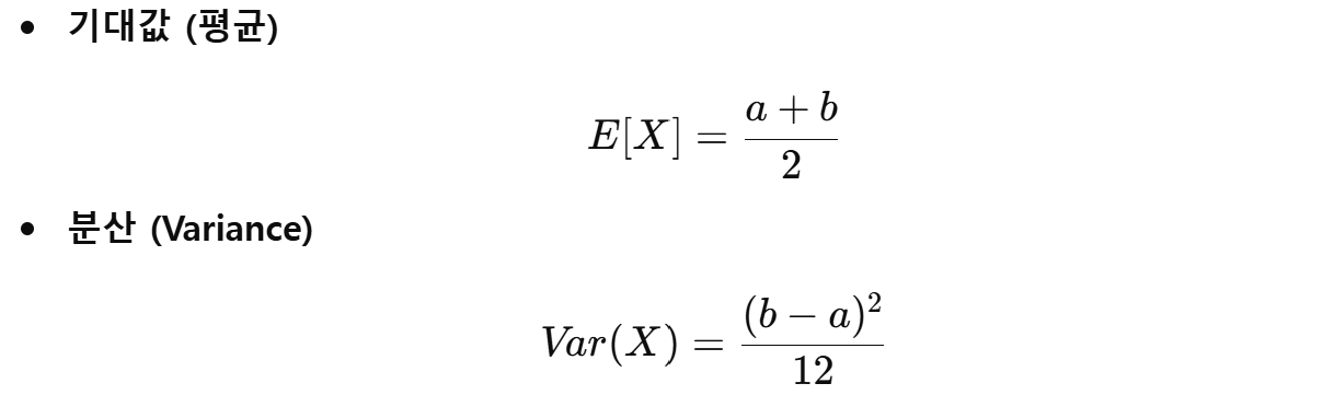
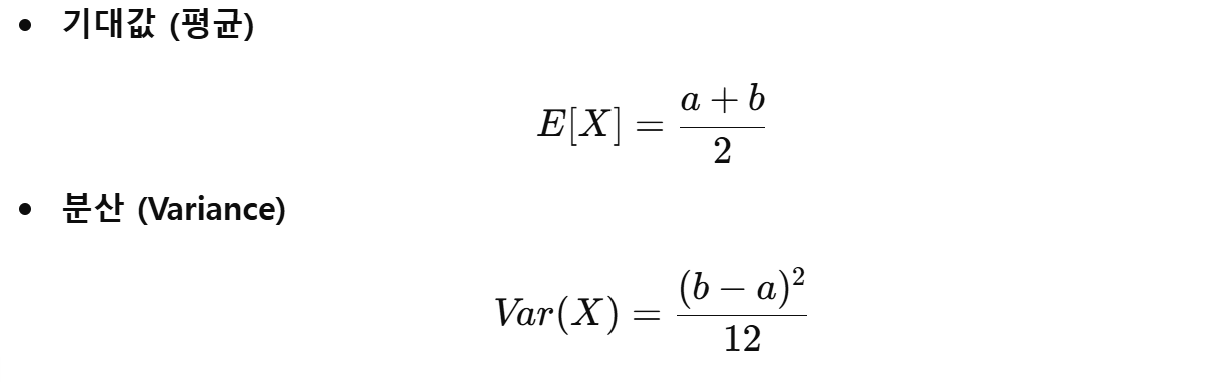
기댓값과 분산
균등 분포의 기댓값과 분산은 다음과 같이 계산된다:

균등 분포의 활용
- 난수 생성: 컴퓨터에서 무작위 숫자를 생성할 때 사용
- 공정한 추첨: 복권, 무작위 샘플링 등
- 랜덤 한 이벤트 발생: 네트워크 패킷 전송 시간 등
균등 분포는 "모든 값이 공평하게 나올 때" 적합한 모델이다. 하지만 실제 데이터는 균등하게 분포하는 경우가 드물어, 보통 다른 분포(정규 분포 등)를 사용한다.
예제: 랜덤 숫자 생성
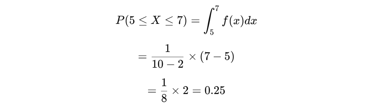
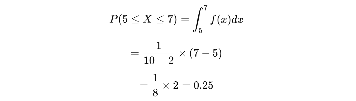
예제: 어떤 기계가 2초에서 10초 사이에 랜덤하게 작동을 멈춘다.
특정한 순간(예: 5초)에 멈출 확률은?
5~7초 사이에 멈출 확률은?
질문 1) 특정 값에서의 확률

연속 분포에서 특정 값의 확률은 항상 0이다.
2) 특정 구간에서의 확률

즉, 기계가 5~7초 사이에 멈출 확률은 25%이다.
예제: 균등 분포(Uniform Distribution)의 CDF
확률 변수 X∼U(a, b) (균등 분포)를 따른다고 하자.
즉, 특정 구간 [a, b]에서 모든 값이 균등한 확률을 가짐.
확률 밀도 함수(PDF):

CDF 계산:

최종 CDF 식:

즉, 균등 분포의 CDF는 선형 함수 형태로 증가한다.