데이터 사이언스/수리 통계학
The Laplace Distribution (라플라스 분포, 이중 지수 분포)
데이터분석가 이채은
2025. 3. 26. 14:25
이중 지수 분포
라플라스 분포(Laplace Distribution) 또는 이중 지수 분포(Double Exponential Distribution)는 평균을 중심으로 대칭적인 확률 분포로, 데이터가 정규 분포보다 중심에 더 집중되고 꼬리가 더 두꺼운(heavy-tailed) 특징이 있다.
- 정규 분포(Gaussian Distribution)와 유사하지만, 중심에서 더 뾰족하고 꼬리가 두꺼운 분포.
- 특정한 점(평균)에서 값이 급격히 변화하는 경우 모델링할 때 적합.
- "변화가 급격하게 발생하는 데이터"를 다룰 때 사용됨.

라플라스 분포가 적용되는 예시
- 금융 데이터(주가, 환율 변동) → 정규 분포보다 급격한 변화가 많음.
- 자연어 처리(NLP)에서 오차 모델링 → 단어 빈도수나 감정 분석에서 활용됨.
- 신호 처리 및 이미지 압축 → 변화가 많은 데이터에 적합.
- 가설 검정 및 Bayesian 분석 → 라플라스 사전 분포(Prior)로 사용됨.
확률 밀도 함수 (PDF)

여기서:
- μ = 위치 모수(location parameter, 평균 역할)
- b = 척도 모수(scale parameter, 분산 역할)
- e = 자연상수 (≈ 2.718)
라플라스 분포는 평균(μ)을 중심으로 대칭이며, 기울기가 급격히 변함.
b가 클수록 분포가 더 퍼지고, 작을수록 데이터가 중심에 집중됨.
비교:
- 정규 분포: 중심에서 완만하게 변화, 꼬리가 얇음.
- 라플라스 분포: 중심에서 급격하게 변화, 꼬리가 두꺼움.
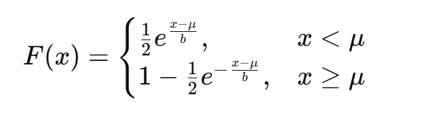
누적 분포 함수 (CDF)

CDF는 정규 분포보다 중심에서 빠르게 증가한다. 따라서 이상값(Outlier)이 있을 때도 상대적으로 강건(Robust)하다.
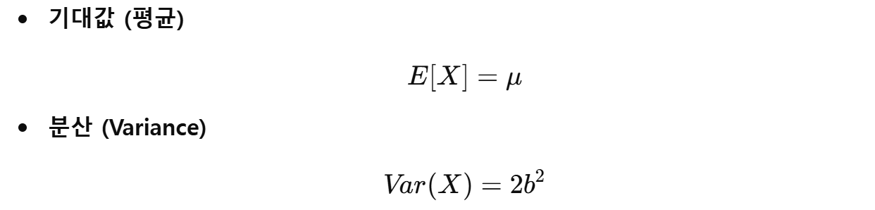
기댓값과 분산

라플라스 분포의 특징
- 꼬리가 두꺼운 분포 (Heavy-Tailed Distribution)
- 정규 분포보다 극단적인 값(이상값)이 더 자주 발생.
- 금융 데이터, 소셜 미디어 감정 분석 등에서 활용.
- 변화가 급격한 데이터에 적합
- 정규 분포는 점진적인 변화 모델링에 적합하지만,
- 라플라스 분포는 급격한 변화가 포함된 데이터를 잘 설명함.
- 정규 분포보다 이상값(Outlier)에 덜 민감
- 평균보다 중앙값(Median)이 더 중요한 경우에 유용.
- 로버스트(robust) 회귀 분석에서 활용.
라플라스 분포의 활용
- 금융 데이터 분석 → 주가, 환율의 급격한 변동 모델링
- 자연어 처리(NLP) → 감정 분석(Sentiment Analysis) 모델링
- 이미지 압축 및 신호 처리 → 변화가 많은 데이터의 분포 모델링
- 베이지안 분석(Bayesian Analysis) → 강건한 사전 확률(Prior) 분포로 사용
라플라스 분포는 "급격한 변화"를 모델링할 때 강력한 도구이다. 정규 분포와 달리, 중심에서 데이터가 더 집중되고 꼬리가 두꺼운 특성을 가진다.
예제: 금융 데이터 분석
예제: 주가 변동이 평균 100을 중심으로 변화하며, 급격한 변동을 가질 때 모델링
b=10b = 10인 경우, 특정 구간의 확률을 계산해 보자.
구간 확률 계산

정규 분포보다 중심 값에 더 많은 확률이 집중된다.
즉, 급격한 변화를 예측할 때 유용하다.