데이터 사이언스/수리 통계학
Marginal of Bivariate Normal (이변량 정규분포의 주변 분포)
데이터분석가 이채은
2025. 3. 29. 14:25
이변량 정규 분포의 정의
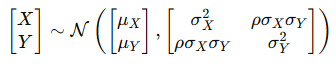
두 확률 변수 X, Y가 다음과 같은 이변량 정규 분포를 따른다고 하자:

여기서:

주변 분포의 형태
이변량 정규 분포에서 주변 분포도 정규 분포를 따름.
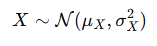
X의 주변 분포는:

Y의 주변 분포는:

- 상관 계수 ρ는 주변 분포에는 영향을 주지 않음.
- 단지 X와 가 함께 어떻게 움직이는지 (공분산 구조)에만 영향.
예제

이때 X와 Y의 주변 분포를 각각 구하라.
