데이터 사이언스/수리 통계학
Conditional Distributions and Bayes' Rule (조건부 분포와 베이즈 정리)
데이터분석가 이채은
2025. 3. 30. 14:25
조건부 분포란?
조건부 분포는 어떤 사건이 발생했다고 가정할 때, 다른 확률 변수의 분포를 의미한다.
이산형 조건부 확률:

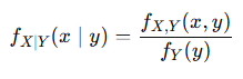
연속형 조건부 밀도 함수:

- 분모는 조건의 주변 분포,
- 분자는 조건과 대상이 함께 일어나는 결합 분포.
조건부 분포의 해석
조건부 분포는 두 변수 간의 의존성 또는 인과성을 분석할 때 핵심 역할을 한다.
예:
- P(질병 ∣ 검사 = 양성)
- P(고객이탈 ∣ 최근방문횟수 = 낮음)
베이즈 정리 (Bayes’ Rule)
2025.02.20 - [데이터 사이언스/수리 통계학] - Bayes' Rule (베이즈 정리)
Bayes' Rule (베이즈 정리)
베이즈 정리베이즈 정리(Bayes’ Rule)는 새로운 정보를 반영하여 확률을 업데이트하는 방법이다. 즉, 어떤 사건이 발생한 후, 그 원인이 특정 사건일 확률을 계산하는 데 사용된다.여기서:P(A∣B):
chaeeun-data.site
조건부 확률을 거꾸로 바꿔서 해석할 수 있게 해주는 공식이다.

확률 변수 버전으로 표현하면:

사후확률 = (우도 × 사전확률) / 증거
- 사전확률 P(X): 우리가 원래 믿고 있던 확률
- 우도 P(Y ∣ X): 주어진 조건하에서 관측된 데이터가 얼마나 가능성 있는지
- 사후확률 P(X ∣ Y): 데이터를 관측한 후 확률이 얼마나 바뀌었는지