데이터 사이언스/수리 통계학
Independence (독립성)
데이터분석가 이채은
2025. 3. 31. 14:25
Independence (독립성)
확률 변수 와 가 독립(independent)이라는 것은 한 변수가 다른 변수의 값에 전혀 영향을 주지 않는다는 의미이다.
독립의 정의 (이산형/연속형 공통)
확률 변수 X와 가 독립이려면, 모든 x, y에 대해 다음이 성립해야 한다:

또는 연속형 확률 변수라면:

즉, 결합 확률(또는 밀도)이 각 변수의 곱으로 표현될 수 있으면 독립이다.
조건부 확률로 보는 독립
또는 이렇게도 표현 가능하다:

조건부 확률이 원래 확률과 같으면 → 정보가 추가돼도 변하지 않음 → 독립
독립 vs 상관관계
독립 ⇒ 상관없음 (correlation = 0)
BUT 상관 없음 ⇏ 독립
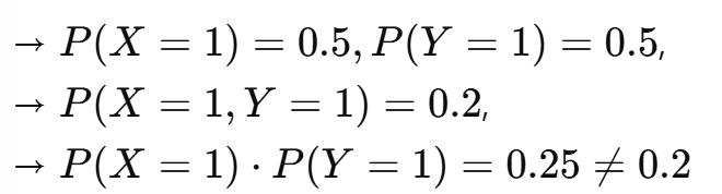
예제 1: 이산형 독립 여부 확인
| X \ Y | 1 | 2 | 3 |
| 1 | 0.2 | 0.3 | 0.5 |
| 2 | 0.3 | 0.2 | 0.5 |
| 합 | 0.5 | 0.5 | 1.0 |

따라서 X와 Y는 독립이 아니다.