데이터 사이언스/수리 통계학
Multidimensional Change of Variables - Discrete (다변량 변수 변환 – 이산형)
데이터분석가 이채은
2025. 4. 4. 02:00
이산형 확률 변수들이 여러 개일 때, 그들을 변환했을 경우 확률이 어떻게 바뀌는지 알아보자.
기본 개념
여러 개의 이산 확률 변수 X1, X2, …, Xn가 있을 때,
이들을 어떤 함수로 변환하여 새로운 확률 변수 Y1, Y2, …를 정의할 수 있어.

확률 계산 방식
변환된 변수 Y의 확률을 구하려면,
원래 변수 공간에서 Y = y를 만족하는 모든 (x1, x2, … ) 조합의 확률을 더해서 구해야 해 한다.

즉, 다대일 함수일 경우, 하나의 y에 해당하는 여러 x 값을 모두 더한다.
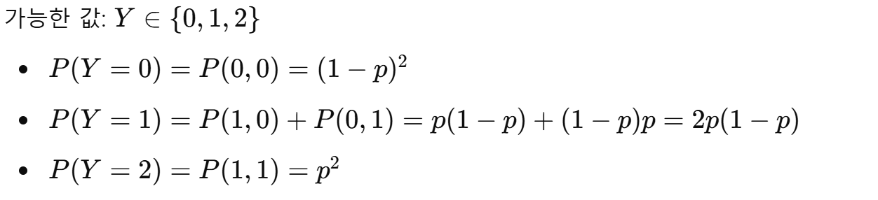
예제 1: 두 이진 변수의 합


Y ∼ Binomial(2, p)
→ 이항 분포로의 변환
예제 2: 다항 분포 → 범주 합치기

→ Y는 X1, X2 범주의 총합 (ex: "찬성 + 보통")
Y ∼ Binomial(n, p1 + p2)