데이터 사이언스/수리 통계학
Multidimensional Change of Variables - Continuous (다변량 변수 변환 – 연속형)
데이터분석가 이채은
2025. 4. 5. 02:00
기본 개념

→ 그러면 Y의 확률 밀도 함수는 다음과 같이 계산된다:

또는 반대로 표현하면:

야코비 행렬 (Jacobian Matrix)

행렬식 ∣ det J ∣은 변환된 공간의 면적/부피 보정 요인
(확률 보존을 위한 스케일 조정)
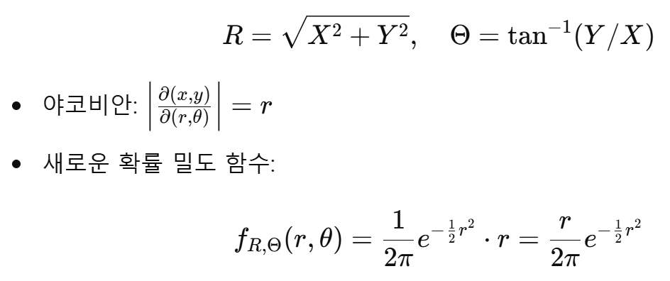
예제: 극좌표 변환

이걸 극좌표로 변환:

등방성 분포가 원형 대칭으로 잘 표현됨.