데이터 사이언스/수리 통계학
Convolution From Adding Random Variables (확률 변수의 합과 컨볼루션)
데이터분석가 이채은
2025. 4. 6. 02:01
문제 정의
두 연속 확률 변수 X, 의 합:

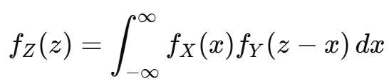
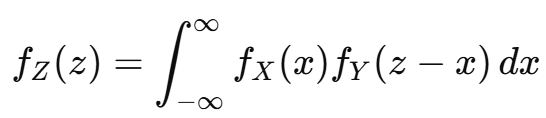
이때 Z의 확률 밀도 함수 fZ(z)는 다음과 같이 계산된다:

이게 바로 연속 확률 변수의 컨볼루션(convolution) 공식이다.

이산 확률 변수의 컨볼루션
이산형에서는 합 대신 합성곱(SUM of PMFs)을 사용한다:

→ 실제로는 두 PMF를 디스크리트 컨볼루션(discrete convolution)하는 것과 동일
예제 1: 균등 분포 U(0, 1) + U(0, 1)

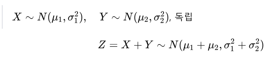
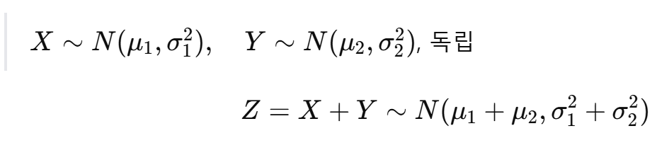
예제 2: 정규분포의 합

정규분포는 합을 취해도 정규분포 형태 유지
→ 굳이 적분할 필요 없이 공식으로 해결 가능