데이터 사이언스/선형대수학
Dot Product (내적, 또는 스칼라 곱)
데이터분석가 이채은
2025. 5. 10. 13:48
내적(dot product)은 두 벡터를 곱해서 하나의 스칼라 값(숫자)을 만드는 연산입니다.
벡터의 방향성과 관련된 중요한 연산으로, 기하학적 의미와 계산 방법 모두 중요합니다.
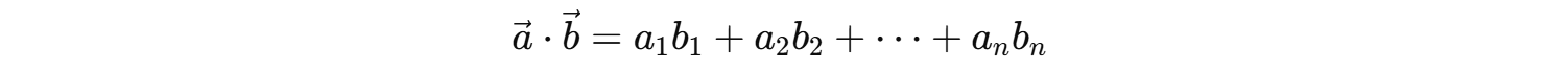
수학적 정의
두 벡터

에 대해 내적은 다음과 같이 계산합니다:

즉, 같은 위치의 성분끼리 곱해서 모두 더합니다.
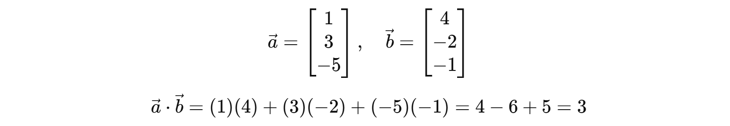
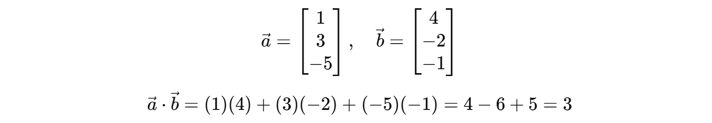
예시

기하학적 의미
