Tags
- stack
- create
- regexp
- 백트래킹
- migrations
- Tree
- SQL
- N:1
- Article & User
- DB
- count
- 트리
- distinct
- Django
- Vue
- 그리디
- drf
- 뷰
- ORM
- update
- M:N
- 쟝고
- delete
- 큐
- 통계학
- outer join
- 스택
- 이진트리
- Queue
- 완전검색
| 일 | 월 | 화 | 수 | 목 | 금 | 토 |
|---|---|---|---|---|---|---|
| 1 | 2 | 3 | ||||
| 4 | 5 | 6 | 7 | 8 | 9 | 10 |
| 11 | 12 | 13 | 14 | 15 | 16 | 17 |
| 18 | 19 | 20 | 21 | 22 | 23 | 24 |
| 25 | 26 | 27 | 28 | 29 | 30 | 31 |
Notice
Recent Posts
Link
데이터 분석 기술 블로그
Cauchy-Schwarz Inequality (코시-슈바르츠 부등식) 본문
코시-슈바르츠 부등식(Cauchy–Schwarz Inequality)은
기댓값과 분산, 공분산 계산의 기초가 되는 매우 중요한 불평등식이다.
선형대수에서도 자주 등장하지만, 확률 이론에서도 핵심적으로 쓰인다.
공식 (확률 변수 버전)

두 변수의 곱의 기댓값(상관도)이, 각각의 제곱 기댓값(분산 수준)의 곱의 제곱근보다 크지 않음
벡터 내적의 확률 버전
이 부등식은

(벡터 내적 ≤ 노름 곱)
이라는 선형대수의 공식과 완전히 같은 구조이다.
→ 확률 이론에서는 내적 = 기대값, 노름 = 제곱기댓값의 제곱근으로 해석
동등 조건

즉, X = aY 같은 형태일 때만 부등식이 등호가 됨
활용
- 상관계수 정의에서 증명에 사용:

- 불확실성 하한 증명
- 회귀 분석의 수학적 기반
- 내적 공간 성질 이해
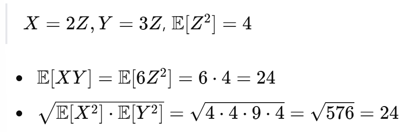
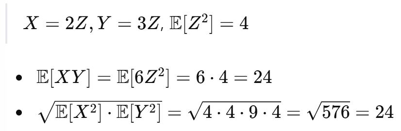
예제

→ 두 값이 같음 → X, Y는 선형 관계
'데이터 사이언스 > 수리 통계학' 카테고리의 다른 글
| Weak Law of Large Numbers (약한 대수의 법칙, WLLN) (0) | 2025.04.24 |
|---|---|
| Convergence In Probability (확률수렴) (0) | 2025.04.23 |
| Chebyshev Inequality (체비셰프 부등식) (0) | 2025.04.21 |
| Markov Inequality (마르코프 부등식) (0) | 2025.04.20 |
| Monotonicity (단조성) (0) | 2025.04.19 |