Tags
- delete
- 트리
- N:1
- distinct
- Django
- 큐
- regexp
- count
- ORM
- 뷰
- drf
- 이진트리
- M:N
- 백트래킹
- Queue
- update
- 완전검색
- create
- stack
- DB
- SQL
- migrations
- Tree
- Vue
- outer join
- 스택
- 쟝고
- 통계학
- Article & User
- 그리디
| 일 | 월 | 화 | 수 | 목 | 금 | 토 |
|---|---|---|---|---|---|---|
| 1 | 2 | 3 | ||||
| 4 | 5 | 6 | 7 | 8 | 9 | 10 |
| 11 | 12 | 13 | 14 | 15 | 16 | 17 |
| 18 | 19 | 20 | 21 | 22 | 23 | 24 |
| 25 | 26 | 27 | 28 | 29 | 30 | 31 |
Notice
Recent Posts
Link
데이터 분석 기술 블로그
Monotonicity (단조성) 본문
단조성(monotonicity)은 확률 변수 간의 비교, 함수 적용, 확률 측도의 특성에서 중요한 역할을 한다.
단조 증가함수에서의 기댓값 비교

- 기댓값은 순서 보존적(order-preserving)
- 특히 단조 증가함수 f가 있을 때:

확률 측도의 단조성

더 큰 집합일수록 확률이 더 크거나 같음 → 확률은 단조적으로 증가하는 함수
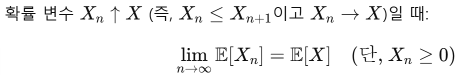
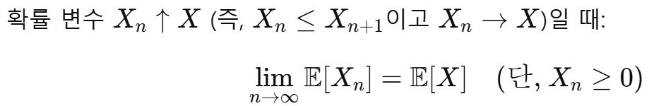
확률 변수 열의 단조 수렴 (Monotone Convergence)

→ 이걸 Monotone Convergence Theorem (단조 수렴 정리)라고 한다.
'데이터 사이언스 > 수리 통계학' 카테고리의 다른 글
| Chebyshev Inequality (체비셰프 부등식) (0) | 2025.04.21 |
|---|---|
| Markov Inequality (마르코프 부등식) (0) | 2025.04.20 |
| Characteristic Functions for Random Vectors (확률 벡터의 특성 함수, CF) (0) | 2025.04.18 |
| Moment Generating Functions for Random Vectors (확률 벡터의 모멘트 생성 함수) (0) | 2025.04.17 |
| Sums of Independent Random Variables (독립 확률 변수의 합) (0) | 2025.04.16 |