Tags
- 완전검색
- regexp
- ORM
- 큐
- Vue
- 뷰
- count
- 백트래킹
- outer join
- Tree
- migrations
- M:N
- 이진트리
- 스택
- 트리
- 통계학
- DB
- update
- SQL
- stack
- delete
- drf
- N:1
- distinct
- 그리디
- Django
- Queue
- 쟝고
- create
- Article & User
| 일 | 월 | 화 | 수 | 목 | 금 | 토 |
|---|---|---|---|---|---|---|
| 1 | 2 | 3 | ||||
| 4 | 5 | 6 | 7 | 8 | 9 | 10 |
| 11 | 12 | 13 | 14 | 15 | 16 | 17 |
| 18 | 19 | 20 | 21 | 22 | 23 | 24 |
| 25 | 26 | 27 | 28 | 29 | 30 | 31 |
Notice
Recent Posts
Link
데이터 분석 기술 블로그
Chebyshev Inequality (체비셰프 부등식) 본문
체비셰프 부등식(Chebyshev Inequality)은
확률 분포의 기댓값과 분산만 알면, 확률 변수가 기댓값에서 얼마나 벗어날 수 있는지를 상한으로 제시해 주는 강력한 불평등식이다.
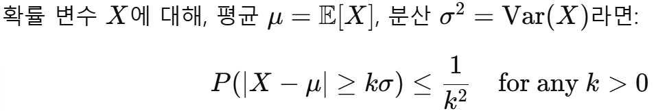
공식

- 확률 변수가 평균에서 멀어질수록 (큰 )
→ 그럴 확률은 더 작아진다 - 정확한 분포를 몰라도 적용 가능
→ 분산만 존재하면 사용 가능하다.
예제

즉, 평균에서 3σ 이상 벗어날 확률은 최대 11.1%
'데이터 사이언스 > 수리 통계학' 카테고리의 다른 글
| Convergence In Probability (확률수렴) (0) | 2025.04.23 |
|---|---|
| Cauchy-Schwarz Inequality (코시-슈바르츠 부등식) (0) | 2025.04.22 |
| Markov Inequality (마르코프 부등식) (0) | 2025.04.20 |
| Monotonicity (단조성) (0) | 2025.04.19 |
| Characteristic Functions for Random Vectors (확률 벡터의 특성 함수, CF) (0) | 2025.04.18 |