Tags
- create
- count
- drf
- 이진트리
- 큐
- Vue
- N:1
- 쟝고
- stack
- migrations
- outer join
- delete
- 트리
- 뷰
- distinct
- Django
- Article & User
- SQL
- 완전검색
- Tree
- ORM
- 그리디
- Queue
- regexp
- 백트래킹
- DB
- 스택
- M:N
- update
- 통계학
| 일 | 월 | 화 | 수 | 목 | 금 | 토 |
|---|---|---|---|---|---|---|
| 1 | 2 | 3 | ||||
| 4 | 5 | 6 | 7 | 8 | 9 | 10 |
| 11 | 12 | 13 | 14 | 15 | 16 | 17 |
| 18 | 19 | 20 | 21 | 22 | 23 | 24 |
| 25 | 26 | 27 | 28 | 29 | 30 | 31 |
Notice
Recent Posts
Link
데이터 분석 기술 블로그
Characteristic Functions for Random Vectors (확률 벡터의 특성 함수, CF) 본문
데이터 사이언스/수리 통계학
Characteristic Functions for Random Vectors (확률 벡터의 특성 함수, CF)
데이터분석가 이채은 2025. 4. 18. 02:03정의

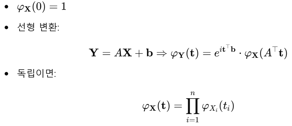
성질

'데이터 사이언스 > 수리 통계학' 카테고리의 다른 글
| Markov Inequality (마르코프 부등식) (0) | 2025.04.20 |
|---|---|
| Monotonicity (단조성) (0) | 2025.04.19 |
| Moment Generating Functions for Random Vectors (확률 벡터의 모멘트 생성 함수) (0) | 2025.04.17 |
| Sums of Independent Random Variables (독립 확률 변수의 합) (0) | 2025.04.16 |
| Characteristic Functions (특성 함수) (0) | 2025.04.15 |