Tags
- Queue
- 백트래킹
- create
- 큐
- drf
- DB
- delete
- Tree
- Vue
- outer join
- 트리
- stack
- 스택
- 이진트리
- Article & User
- 완전검색
- distinct
- Django
- SQL
- count
- update
- migrations
- M:N
- 뷰
- 통계학
- 그리디
- ORM
- N:1
- regexp
- 쟝고
| 일 | 월 | 화 | 수 | 목 | 금 | 토 |
|---|---|---|---|---|---|---|
| 1 | 2 | 3 | ||||
| 4 | 5 | 6 | 7 | 8 | 9 | 10 |
| 11 | 12 | 13 | 14 | 15 | 16 | 17 |
| 18 | 19 | 20 | 21 | 22 | 23 | 24 |
| 25 | 26 | 27 | 28 | 29 | 30 | 31 |
Notice
Recent Posts
Link
데이터 분석 기술 블로그
Sums of Independent Random Variables (독립 확률 변수의 합) 본문
기댓값과 분산

- 기댓값은 항상 선형,
- 분산은 독립일 때만 분리 가능
분포의 형태
- 이항 분포 + 이항 분포 = 또 다른 이항 분포
(같은 성공 확률일 때) - 정규 분포 + 정규 분포 = 또 다른 정규 분포
- 포아송 분포 + 포아송 분포 = 또 다른 포아송 분포
(독립이고 평균만 다를 때)
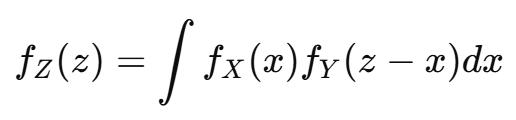
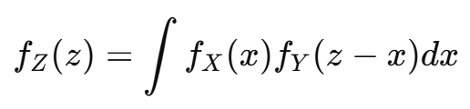
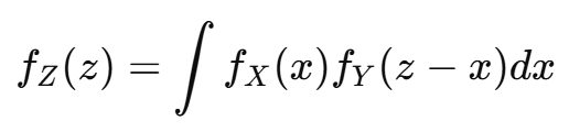
컨볼루션 관점
확률 밀도 함수(PDF 또는 PMF) 관점에서는,
독립 확률 변수의 합의 분포는 컨볼루션으로 계산된다:

→ 앞에서 배운 convolution 개념과 동일하다.
'데이터 사이언스 > 수리 통계학' 카테고리의 다른 글
| Characteristic Functions for Random Vectors (확률 벡터의 특성 함수, CF) (0) | 2025.04.18 |
|---|---|
| Moment Generating Functions for Random Vectors (확률 벡터의 모멘트 생성 함수) (0) | 2025.04.17 |
| Characteristic Functions (특성 함수) (0) | 2025.04.15 |
| Moment Generating Functions (MGF, 모멘트 생성 함수) (0) | 2025.04.14 |
| Law of Total Expectation (전기댓값의 법칙) (0) | 2025.04.13 |