Tags
- Django
- 백트래킹
- Vue
- 쟝고
- count
- delete
- N:1
- create
- Article & User
- drf
- 스택
- distinct
- outer join
- stack
- 통계학
- Tree
- ORM
- 이진트리
- update
- SQL
- DB
- 큐
- 뷰
- M:N
- migrations
- 그리디
- 트리
- regexp
- Queue
- 완전검색
| 일 | 월 | 화 | 수 | 목 | 금 | 토 |
|---|---|---|---|---|---|---|
| 1 | 2 | 3 | ||||
| 4 | 5 | 6 | 7 | 8 | 9 | 10 |
| 11 | 12 | 13 | 14 | 15 | 16 | 17 |
| 18 | 19 | 20 | 21 | 22 | 23 | 24 |
| 25 | 26 | 27 | 28 | 29 | 30 | 31 |
Notice
Recent Posts
Link
데이터 분석 기술 블로그
Moment Generating Functions (MGF, 모멘트 생성 함수) 본문
모멘트 생성 함수(MGF)는 확률 분포의 모든 모멘트(moment)
즉, 평균, 분산, 비대칭도, 첨도 등을 수학적으로 '생성'해낼 수 있는 함수이다.
또한 확률 분포를 특정한 형태로 표현하고 특정한 성질을 분석할 때도 많이 사용된다.
정의
확률 변수 X의 MGF는 다음과 같이 정의된다:

모멘트와의 관계
MGF를 t = 0에서 미분하면 모멘트가 나온다:

성질

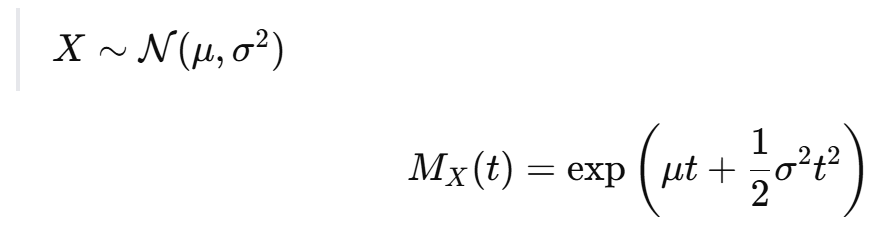
예제: 정규분포

- 이 식은 정규분포의 핵심적인 특징 중 하나고,
- MGF를 이용해 정규성 여부를 확인하거나, 확률 분포를 판별할 수도 있음
'데이터 사이언스 > 수리 통계학' 카테고리의 다른 글
| Sums of Independent Random Variables (독립 확률 변수의 합) (0) | 2025.04.16 |
|---|---|
| Characteristic Functions (특성 함수) (0) | 2025.04.15 |
| Law of Total Expectation (전기댓값의 법칙) (0) | 2025.04.13 |
| Conditional Expectation (조건부 기댓값) (1) | 2025.04.12 |
| Covariance and Correlation (공분산과 상관계수) (0) | 2025.04.11 |