Tags
- 그리디
- SQL
- DB
- Queue
- 큐
- 통계학
- outer join
- 뷰
- Article & User
- create
- delete
- Tree
- Vue
- 쟝고
- regexp
- M:N
- ORM
- stack
- Django
- distinct
- 완전검색
- N:1
- 트리
- drf
- update
- 스택
- count
- 백트래킹
- migrations
- 이진트리
| 일 | 월 | 화 | 수 | 목 | 금 | 토 |
|---|---|---|---|---|---|---|
| 1 | 2 | 3 | ||||
| 4 | 5 | 6 | 7 | 8 | 9 | 10 |
| 11 | 12 | 13 | 14 | 15 | 16 | 17 |
| 18 | 19 | 20 | 21 | 22 | 23 | 24 |
| 25 | 26 | 27 | 28 | 29 | 30 | 31 |
Notice
Recent Posts
Link
데이터 분석 기술 블로그
Characteristic Functions (특성 함수) 본문
특성 함수(Characteric Function, CF)는 확률 분포를 복소수 영역에서 표현한 함수로,
모멘트 생성 함수(MGF)와 비슷하지만 모든 확률 분포에 대해 항상 존재한다는 강력한 성질을 가진다.
→ 중심극한정리, 수렴 이론, 분포 식별 등에 핵심적이다.
정의

- 복소 지수 함수로 정의됨
- 실수 t에 대해 항상 존재 (MGF보다 안정적)
모멘트와의 관계
모멘트가 존재한다면, 다음과 같은 관계가 성립한다:


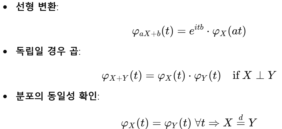
중요한 성질

즉, 특성 함수가 같으면 두 분포는 완전히 같은 분포라는 뜻이다.
'데이터 사이언스 > 수리 통계학' 카테고리의 다른 글
| Moment Generating Functions for Random Vectors (확률 벡터의 모멘트 생성 함수) (0) | 2025.04.17 |
|---|---|
| Sums of Independent Random Variables (독립 확률 변수의 합) (0) | 2025.04.16 |
| Moment Generating Functions (MGF, 모멘트 생성 함수) (0) | 2025.04.14 |
| Law of Total Expectation (전기댓값의 법칙) (0) | 2025.04.13 |
| Conditional Expectation (조건부 기댓값) (1) | 2025.04.12 |