Tags
- create
- Queue
- DB
- M:N
- regexp
- 쟝고
- 이진트리
- 스택
- 그리디
- SQL
- Tree
- count
- stack
- 백트래킹
- Django
- Article & User
- 통계학
- update
- 큐
- 완전검색
- migrations
- ORM
- distinct
- 뷰
- delete
- drf
- outer join
- N:1
- 트리
- Vue
| 일 | 월 | 화 | 수 | 목 | 금 | 토 |
|---|---|---|---|---|---|---|
| 1 | 2 | 3 | ||||
| 4 | 5 | 6 | 7 | 8 | 9 | 10 |
| 11 | 12 | 13 | 14 | 15 | 16 | 17 |
| 18 | 19 | 20 | 21 | 22 | 23 | 24 |
| 25 | 26 | 27 | 28 | 29 | 30 | 31 |
Notice
Recent Posts
Link
데이터 분석 기술 블로그
Element-Wise Product (원소별 곱, Hadamard Product) 본문
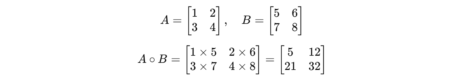
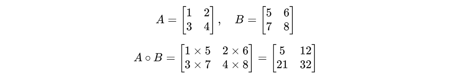
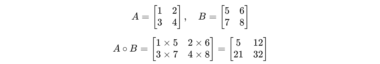
원소별 곱(element-wise product)은 두 행렬(또는 벡터)의 같은 위치에 있는 원소끼리 하나하나 곱하는 연산입니다.
이 연산은 Hadamard Product(하다마르 곱)라고도 불립니다.
수학적 정의

예제

원소별 곱과 행렬 곱

요약
- 원소별 곱은 같은 크기의 행렬/벡터끼리만 가능
- 각 위치의 원소끼리 곱해서 새로운 행렬을 구성
- 기호: A ∘ B 또는 코드에서는 *, .∗ 등으로 표기
'데이터 사이언스 > 선형대수학' 카테고리의 다른 글
| Identity Matrix (단위 행렬) (0) | 2025.05.21 |
|---|---|
| Outer Product (외적, 외적 행렬) (1) | 2025.05.20 |
| Matrix-Vector Product (행렬-벡터 곱) (0) | 2025.05.18 |
| Properties of Matrix Multiplication (행렬 곱의 성질) (0) | 2025.05.17 |
| Matrix Multiplication (행렬 곱) (0) | 2025.05.16 |