Tags
- 통계학
- Tree
- 트리
- 쟝고
- Django
- delete
- SQL
- N:1
- distinct
- regexp
- DB
- stack
- 큐
- create
- 이진트리
- Queue
- count
- 완전검색
- 스택
- Article & User
- Vue
- M:N
- drf
- update
- ORM
- 그리디
- migrations
- 백트래킹
- 뷰
- outer join
| 일 | 월 | 화 | 수 | 목 | 금 | 토 |
|---|---|---|---|---|---|---|
| 1 | 2 | 3 | ||||
| 4 | 5 | 6 | 7 | 8 | 9 | 10 |
| 11 | 12 | 13 | 14 | 15 | 16 | 17 |
| 18 | 19 | 20 | 21 | 22 | 23 | 24 |
| 25 | 26 | 27 | 28 | 29 | 30 | 31 |
Notice
Recent Posts
Link
데이터 분석 기술 블로그
Identity Matrix (단위 행렬) 본문
단위행렬(Identity Matrix)은 행렬 곱셈에서 항등원 역할을 하는 정사각행렬입니다.
즉, 어떤 행렬 A와 곱해도 원래 행렬을 그대로 유지시키는 행렬입니다.

단위행렬의 정의

역할과 중요성
- 행렬 연산에서 항등원(identity element) 역할
- 역행렬 A−1을 곱했을 때 결과가 단위행렬이 되면 A는 가역(invertible)
- 연립방정식의 해를 구하는 과정에서 가우스-조르당 소거법의 목표는 행렬을 단위 행렬로 만드는 것
- 신경망이나 선형대수 기반 알고리즘에서 초기값, 기준 행렬, 보존 연산 등으로 자주 등장
단위 행렬의 성질

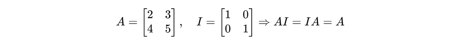
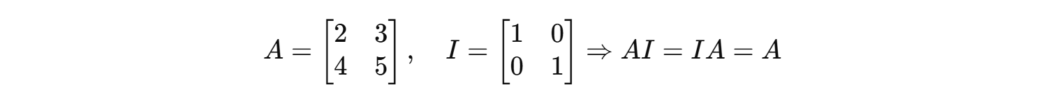
예제

→ 행렬을 변화시키지 않고 그대로 유지시킵니다.
'데이터 사이언스 > 선형대수학' 카테고리의 다른 글
| Outer Product (외적, 외적 행렬) (1) | 2025.05.20 |
|---|---|
| Element-Wise Product (원소별 곱, Hadamard Product) (0) | 2025.05.19 |
| Matrix-Vector Product (행렬-벡터 곱) (0) | 2025.05.18 |
| Properties of Matrix Multiplication (행렬 곱의 성질) (0) | 2025.05.17 |
| Matrix Multiplication (행렬 곱) (0) | 2025.05.16 |