Tags
- 스택
- N:1
- create
- 그리디
- 뷰
- count
- SQL
- distinct
- ORM
- 큐
- 통계학
- 트리
- Vue
- outer join
- delete
- 백트래킹
- Article & User
- 완전검색
- Django
- Queue
- update
- 이진트리
- M:N
- drf
- DB
- 쟝고
- Tree
- stack
- migrations
- regexp
| 일 | 월 | 화 | 수 | 목 | 금 | 토 |
|---|---|---|---|---|---|---|
| 1 | 2 | 3 | 4 | 5 | 6 | 7 |
| 8 | 9 | 10 | 11 | 12 | 13 | 14 |
| 15 | 16 | 17 | 18 | 19 | 20 | 21 |
| 22 | 23 | 24 | 25 | 26 | 27 | 28 |
| 29 | 30 | 31 |
Notice
Recent Posts
Link
데이터 분석 기술 블로그
No Solutions (해가 없는 경우) 본문
연립 선형 방정식을 풀 때, 해가 존재하지 않는 경우가 있습니다.
이건 방정식들이 서로 모순되는 조건을 포함하고 있을 때 발생합니다. 즉, 어떤 값도 모든 식을 동시에 만족시킬 수 없는 경우입니다.
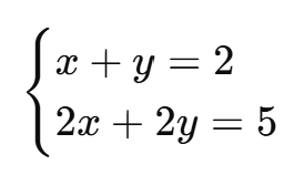
예시

두 번째 식은 첫 번째 식에 2를 곱한 것처럼 보이지만, 오른쪽 상수항은 2 ×2가 아니라 5입니다. 즉, 두 식의 계수는 비례하지만, 상수항은 비례하지 않습니다.
이 경우 두 직선은 기울기는 같지만 다른 위치에 있는 평행선이므로 서로 만나지 않으며, 해가 없습니다.
행렬 관점
확장 행렬을 만들고 가우스 소거법을 적용하면 다음과 같은 형태가 나올 수 있습니다:

두 번째 행은 다음을 의미합니다:

이러한 모순된 식이 등장하면, 이는 시스템이 해를 가질 수 없음을 의미합니다.
기하학적 해석
- 2개의 방정식 → 2개의 직선
- 3개의 방정식과 3개의 미지수 → 3개의 평면
이 경우, 해가 없다는 것은
- 직선끼리 평행하거나
- 평면이 서로 만나지 않거나, 겹치지 않고 어긋난 상태라는 뜻입니다.
'데이터 사이언스 > 선형대수학' 카테고리의 다른 글
| What is a Vector? (벡터란 무엇인가?) (0) | 2025.05.08 |
|---|---|
| Infinitely Many Solutions (무수히 많은 해) (0) | 2025.05.07 |
| Gaussian Elimination (가우스 소거법) (0) | 2025.05.05 |
| Equations and 3 Unknowns (3개의 방정식과 3개의 미지수) (0) | 2025.05.04 |
| Equations and 2 Unknowns (2개의 방정식과 2개의 미지수) (0) | 2025.05.03 |