Tags
- ORM
- 스택
- 뷰
- Django
- 트리
- update
- outer join
- drf
- Article & User
- regexp
- M:N
- Tree
- 백트래킹
- 큐
- 쟝고
- create
- 통계학
- count
- Vue
- distinct
- Queue
- stack
- DB
- 이진트리
- delete
- N:1
- 완전검색
- 그리디
- migrations
- SQL
| 일 | 월 | 화 | 수 | 목 | 금 | 토 |
|---|---|---|---|---|---|---|
| 1 | 2 | 3 | ||||
| 4 | 5 | 6 | 7 | 8 | 9 | 10 |
| 11 | 12 | 13 | 14 | 15 | 16 | 17 |
| 18 | 19 | 20 | 21 | 22 | 23 | 24 |
| 25 | 26 | 27 | 28 | 29 | 30 | 31 |
Notice
Recent Posts
Link
데이터 분석 기술 블로그
Equations and 3 Unknowns (3개의 방정식과 3개의 미지수) 본문
3개의 미지수 x, y, z에 대해 3개의 선형 방정식이 주어진 경우, 이 시스템의 해를 찾는 것이 목표입니다.
예를 들어:

이 문제는 3차원 공간에서의 세 평면의 교점을 구하는 것으로 해석할 수 있습니다.
가능한 3가지의 해
- 유일한 해 (Unique Solution)
세 평면이 한 점에서 만나는 경우입니다. 이 경우가 가장 이상적이며, 해는 딱 하나입니다. - 해가 없음 (No Solution)
세 평면이 서로 만나지 않거나, 일부만 교차하지만 세 평면이 한 점에서 동시에 만나지 않는 경우입니다.
예: 세 평면이 마치 삼각기둥의 옆면처럼 서 있는 경우. - 무수히 많은 해 (Infinitely Many Solutions)
세 평면이 한 선을 따라 만나거나, 세 평면이 모두 동일한 평면 또는 동일한 선분을 공유하는 경우입니다.
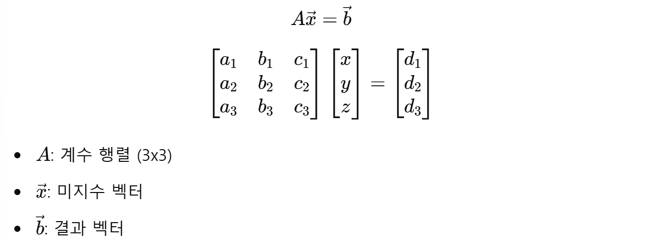
행렬 표현 (Matrix Form)
위 연립방정식은 다음과 같은 행렬로 표현됩니다:

'데이터 사이언스 > 선형대수학' 카테고리의 다른 글
| Infinitely Many Solutions (무수히 많은 해) (0) | 2025.05.07 |
|---|---|
| No Solutions (해가 없는 경우) (0) | 2025.05.06 |
| Gaussian Elimination (가우스 소거법) (0) | 2025.05.05 |
| Equations and 2 Unknowns (2개의 방정식과 2개의 미지수) (0) | 2025.05.03 |
| Lines and Planes (직선과 평면) (0) | 2025.05.02 |