Tags
- update
- M:N
- 그리디
- ORM
- 완전검색
- stack
- 뷰
- delete
- 백트래킹
- Vue
- DB
- Queue
- 트리
- Article & User
- Tree
- migrations
- 스택
- 큐
- outer join
- 이진트리
- SQL
- 쟝고
- count
- 통계학
- drf
- distinct
- Django
- create
- regexp
- N:1
| 일 | 월 | 화 | 수 | 목 | 금 | 토 |
|---|---|---|---|---|---|---|
| 1 | 2 | 3 | ||||
| 4 | 5 | 6 | 7 | 8 | 9 | 10 |
| 11 | 12 | 13 | 14 | 15 | 16 | 17 |
| 18 | 19 | 20 | 21 | 22 | 23 | 24 |
| 25 | 26 | 27 | 28 | 29 | 30 | 31 |
Notice
Recent Posts
Link
데이터 분석 기술 블로그
Equations and 2 Unknowns (2개의 방정식과 2개의 미지수) 본문
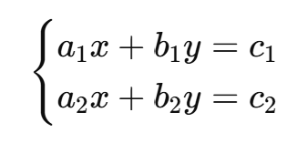
2개의 미지수 x, y에 대해 2개의 선형 방정식이 주어졌을 때, 이 시스템(system)의 해(solution)를 찾는 것이 핵심입니다.
즉, 다음과 같은 형태의 연립방정식을 생각하시면 됩니다:

기하학적으로는 두 직선의 교점을 찾는 문제입니다.
가능한 경우 3가지
- 유일한 해 (Unique Solution)
두 직선이 한 점에서 만나면 그 점이 유일한 해입니다.
예: 기울기가 다른 두 직선이 만나는 경우. - 해가 없음 (No Solution)
두 직선이 평행하지만 서로 다른 위치에 있으면, 절대 만나지 않으므로 해가 없습니다. - 무수히 많은 해 (Infinitely Many Solutions)
두 직선이 완전히 겹치는 경우입니다. 즉, 두 방정식이 사실상 같은 직선을 표현하고 있을 때입니다.
행렬 표현 (Matrix Form)
위의 연립방정식을 행렬로 표현하면 다음과 같습니다:

이때,
- 왼쪽의 2x2 행렬은 계수 행렬(coefficient matrix),
- 가운데의 열벡터는 미지수 벡터,
- 오른쪽 벡터는 결과 벡터입니다.
수학적 풀이법
- 대입법: 한 식에서 변수 하나를 정리해서 다른 식에 대입.
- 가감법: 두 식을 더하거나 빼서 변수 하나를 없앰.
선형대수에서는 행렬을 이용한 계산이 더 일반적이고, 확장성도 높습니다.
'데이터 사이언스 > 선형대수학' 카테고리의 다른 글
| Infinitely Many Solutions (무수히 많은 해) (0) | 2025.05.07 |
|---|---|
| No Solutions (해가 없는 경우) (0) | 2025.05.06 |
| Gaussian Elimination (가우스 소거법) (0) | 2025.05.05 |
| Equations and 3 Unknowns (3개의 방정식과 3개의 미지수) (0) | 2025.05.04 |
| Lines and Planes (직선과 평면) (0) | 2025.05.02 |