Tags
- N:1
- Queue
- Article & User
- Vue
- 통계학
- migrations
- 백트래킹
- DB
- stack
- 완전검색
- drf
- 이진트리
- M:N
- outer join
- delete
- Django
- 트리
- 스택
- 그리디
- 큐
- 뷰
- count
- Tree
- ORM
- create
- update
- regexp
- 쟝고
- SQL
- distinct
| 일 | 월 | 화 | 수 | 목 | 금 | 토 |
|---|---|---|---|---|---|---|
| 1 | 2 | 3 | ||||
| 4 | 5 | 6 | 7 | 8 | 9 | 10 |
| 11 | 12 | 13 | 14 | 15 | 16 | 17 |
| 18 | 19 | 20 | 21 | 22 | 23 | 24 |
| 25 | 26 | 27 | 28 | 29 | 30 | 31 |
Notice
Recent Posts
Link
데이터 분석 기술 블로그
The Binomial Distribution (이항 분포) 본문
이항 분포
이항 분포(Binomial Distribution)는 베르누이 시행을 여러 번 반복했을 때 성공하는 횟수를 나타내는 확률 분포이다.

이항 분포란?
이항 분포는 성공/실패(binary outcome)가 존재하는 독립적인 시행을 여러 번 반복하는 경우 사용된다.
- 각 시행은 베르누이 시행 (즉, 성공/실패의 두 가지 결과만 존재).
- 모든 시행에서 성공 확률 p가 동일.
- n번의 시행 중 성공 횟수 X를 확률 변수로 가짐.
이항 분포는 "반복된 베르누이 시행"에서 특정 횟수만큼 성공할 확률을 모델링한다.
이항 분포의 확률 질량 함수 (PMF)
확률 변수가 이항 분포를 따른다면 다음과 같이 표현된다:

이때 확률 질량 함수(PMF)는:

여기서:
- k = 성공 횟수 (우리가 구하려는 값)
- = 시행 횟수 (총 몇 번 반복하는지)
- p = 단일 시행에서의 성공 확률
- nCk = 조합(combination), n번 중 k번 성공할 경우의 수

기댓값과 분산
이항 분포의 기댓값(평균)과 분산은 간단한 공식으로 구할 수 있다:

이항 분포의 활용
- 품질 관리: 공장에서 샘플링하여 불량품이 나올 확률 계산
- 의학 실험: 백신 접종 후 면역 반응을 보이는 사람의 비율 분석
- A/B 테스트: 광고 클릭 여부(클릭=1, 미클릭=0)의 분포 분석
성공 횟수를 예측하는 데 매우 유용한 확률 분포이다.
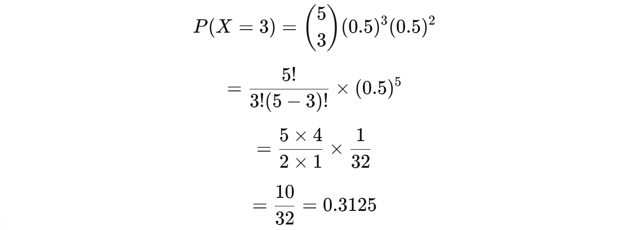
예제 1: 동전을 5번 던질 때 앞면이 3번 나올 확률
동전을 5번 던지고 앞면(성공)이 나올 확률이 0.5라고 하자.
X를 "앞면이 나오는 횟수"라고 하면,
X ∼ Binomial(5, 0.5)
이때, 앞면이 3번 나올 확률은:

동전을 5번 던졌을 때 앞면이 정확히 3번 나올 확률은 31.25%이다.
'데이터 사이언스 > 수리 통계학' 카테고리의 다른 글
| The Poisson Distribution (포아송 분포) (2) | 2025.03.20 |
|---|---|
| The Geometric Distribution (기하 분포) (0) | 2025.03.19 |
| The Categorical Distribution (범주형 분포) (0) | 2025.03.17 |
| The Bernoulli Distribution (베르누이 분포) (0) | 2025.03.16 |
| What is a Random Variable? (확률 변수란?) (0) | 2025.03.15 |