Tags
- ORM
- N:1
- migrations
- count
- Tree
- 스택
- Django
- 쟝고
- 큐
- Article & User
- 이진트리
- stack
- DB
- 완전검색
- outer join
- delete
- 그리디
- Queue
- 트리
- 뷰
- update
- SQL
- regexp
- 통계학
- distinct
- M:N
- create
- 백트래킹
- Vue
- drf
| 일 | 월 | 화 | 수 | 목 | 금 | 토 |
|---|---|---|---|---|---|---|
| 1 | 2 | 3 | ||||
| 4 | 5 | 6 | 7 | 8 | 9 | 10 |
| 11 | 12 | 13 | 14 | 15 | 16 | 17 |
| 18 | 19 | 20 | 21 | 22 | 23 | 24 |
| 25 | 26 | 27 | 28 | 29 | 30 | 31 |
Notice
Recent Posts
Link
데이터 분석 기술 블로그
Independence (독립성) 본문
Independence (독립성)
확률 변수 와 가 독립(independent)이라는 것은 한 변수가 다른 변수의 값에 전혀 영향을 주지 않는다는 의미이다.
독립의 정의 (이산형/연속형 공통)
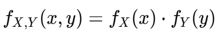
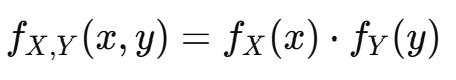
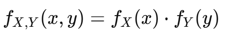
확률 변수 X와 가 독립이려면, 모든 x, y에 대해 다음이 성립해야 한다:

또는 연속형 확률 변수라면:

즉, 결합 확률(또는 밀도)이 각 변수의 곱으로 표현될 수 있으면 독립이다.
조건부 확률로 보는 독립
또는 이렇게도 표현 가능하다:

조건부 확률이 원래 확률과 같으면 → 정보가 추가돼도 변하지 않음 → 독립
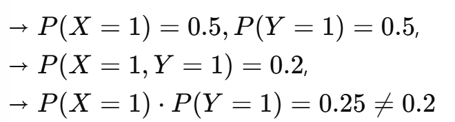
독립 vs 상관관계
독립 ⇒ 상관없음 (correlation = 0)
BUT 상관 없음 ⇏ 독립
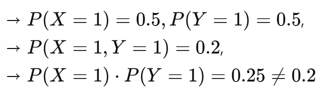
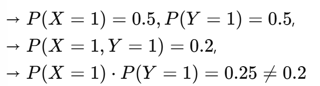
예제 1: 이산형 독립 여부 확인
| X \ Y | 1 | 2 | 3 |
| 1 | 0.2 | 0.3 | 0.5 |
| 2 | 0.3 | 0.2 | 0.5 |
| 합 | 0.5 | 0.5 | 1.0 |

따라서 X와 Y는 독립이 아니다.
'데이터 사이언스 > 수리 통계학' 카테고리의 다른 글
| Multivariate Normal Distribution / Vector Gaussian (다변량 정규분포) (0) | 2025.04.02 |
|---|---|
| Multivariate Distributions and Random Vectors (다변량 분포와 확률 벡터) (0) | 2025.04.01 |
| Conditional Distributions and Bayes' Rule (조건부 분포와 베이즈 정리) (0) | 2025.03.30 |
| Marginal of Bivariate Normal (이변량 정규분포의 주변 분포) (0) | 2025.03.29 |
| Joint and Marginal Distributions (결합 및 주변 분포) (0) | 2025.03.28 |