Tags
- 완전검색
- M:N
- update
- migrations
- Tree
- Queue
- 큐
- 뷰
- DB
- 백트래킹
- SQL
- delete
- 이진트리
- 트리
- ORM
- Vue
- 통계학
- distinct
- 쟝고
- regexp
- 스택
- Django
- Article & User
- 그리디
- N:1
- create
- outer join
- count
- drf
- stack
| 일 | 월 | 화 | 수 | 목 | 금 | 토 |
|---|---|---|---|---|---|---|
| 1 | 2 | 3 | ||||
| 4 | 5 | 6 | 7 | 8 | 9 | 10 |
| 11 | 12 | 13 | 14 | 15 | 16 | 17 |
| 18 | 19 | 20 | 21 | 22 | 23 | 24 |
| 25 | 26 | 27 | 28 | 29 | 30 | 31 |
Notice
Recent Posts
Link
데이터 분석 기술 블로그
Marginal of Bivariate Normal (이변량 정규분포의 주변 분포) 본문
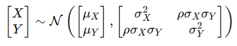
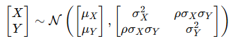
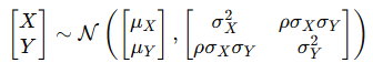
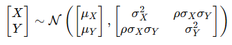
이변량 정규 분포의 정의
두 확률 변수 X, Y가 다음과 같은 이변량 정규 분포를 따른다고 하자:

여기서:

주변 분포의 형태
이변량 정규 분포에서 주변 분포도 정규 분포를 따름.
X의 주변 분포는:

Y의 주변 분포는:

- 상관 계수 ρ는 주변 분포에는 영향을 주지 않음.
- 단지 X와 가 함께 어떻게 움직이는지 (공분산 구조)에만 영향.
예제

이때 X와 Y의 주변 분포를 각각 구하라.

'데이터 사이언스 > 수리 통계학' 카테고리의 다른 글
| Independence (독립성) (0) | 2025.03.31 |
|---|---|
| Conditional Distributions and Bayes' Rule (조건부 분포와 베이즈 정리) (0) | 2025.03.30 |
| Joint and Marginal Distributions (결합 및 주변 분포) (0) | 2025.03.28 |
| Change of Variables (확률 변수 변환) (0) | 2025.03.27 |
| The Laplace Distribution (라플라스 분포, 이중 지수 분포) (0) | 2025.03.26 |