Tags
- 완전검색
- 스택
- Tree
- N:1
- outer join
- regexp
- drf
- update
- delete
- ORM
- 백트래킹
- stack
- 쟝고
- distinct
- Queue
- count
- Vue
- Django
- DB
- 이진트리
- 그리디
- SQL
- M:N
- 큐
- 통계학
- migrations
- Article & User
- 뷰
- 트리
- create
| 일 | 월 | 화 | 수 | 목 | 금 | 토 |
|---|---|---|---|---|---|---|
| 1 | 2 | 3 | ||||
| 4 | 5 | 6 | 7 | 8 | 9 | 10 |
| 11 | 12 | 13 | 14 | 15 | 16 | 17 |
| 18 | 19 | 20 | 21 | 22 | 23 | 24 |
| 25 | 26 | 27 | 28 | 29 | 30 | 31 |
Notice
Recent Posts
Link
데이터 분석 기술 블로그
Joint and Marginal Distributions (결합 및 주변 분포) 본문
결합 분포(Joint Distribution)와 주변 분포(Marginal Distribution)는 두 개 이상의 확률 변수가 함께 어떻게 분포하는지를 이해할 때 핵심이 되는 개념이다.
결합 분포란? (Joint Distribution)
결합 분포는 두 확률 변수 X와 Y가 동시에 어떤 값을 가질 확률을 나타내는 함수이다.
- 이산형 확률 변수의 경우:

이를 결합 확률 질량 함수 (Joint PMF)라고 한다.
- 연속형 확률 변수의 경우:

즉, 두 변수의 관계를 함께 고려하는 분포이다.
주변 분포란? (Marginal Distribution)
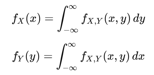
주변 분포는 다변량 확률 분포에서 특정 변수 하나만 따로 떼어내어 보는 분포이다.
다른 변수의 값을 고려하지 않고, 전체 분포에서 그 변수를 "통합(integrate out)"해서 얻는다.
이산형일 경우

연속형일 경우

결합 분포에서 다른 변수의 축을 적분/합산하여 제거하면 주변 분포가 된다.
예제 1: 이산형 결합 분포
| X \ Y | 1 | 2 | 3 |
| 1 | 0.1 | 0.2 | 0.3 |
| 2 | 0.3 | 0.4 | 0.7 |
| 합 | 0.4 | 0.6 | 1.0 |

예제 2: 연속형 결합 분포
fX,Y(x, y) = 6xy on 0 ≤ x ≤ 1, 0 ≤ y ≤ 1
이때, fX(x)를 구해보자.

'데이터 사이언스 > 수리 통계학' 카테고리의 다른 글
| Conditional Distributions and Bayes' Rule (조건부 분포와 베이즈 정리) (0) | 2025.03.30 |
|---|---|
| Marginal of Bivariate Normal (이변량 정규분포의 주변 분포) (0) | 2025.03.29 |
| Change of Variables (확률 변수 변환) (0) | 2025.03.27 |
| The Laplace Distribution (라플라스 분포, 이중 지수 분포) (0) | 2025.03.26 |
| The Normal Distribution (정규 분포, Gaussian Distribution) (2) | 2025.03.25 |