Tags
- drf
- DB
- 뷰
- ORM
- 큐
- stack
- count
- 이진트리
- M:N
- regexp
- Queue
- Tree
- 백트래킹
- 스택
- update
- SQL
- 쟝고
- outer join
- Vue
- Django
- create
- 완전검색
- N:1
- migrations
- distinct
- delete
- 통계학
- 그리디
- Article & User
- 트리
| 일 | 월 | 화 | 수 | 목 | 금 | 토 |
|---|---|---|---|---|---|---|
| 1 | 2 | 3 | ||||
| 4 | 5 | 6 | 7 | 8 | 9 | 10 |
| 11 | 12 | 13 | 14 | 15 | 16 | 17 |
| 18 | 19 | 20 | 21 | 22 | 23 | 24 |
| 25 | 26 | 27 | 28 | 29 | 30 | 31 |
Notice
Recent Posts
Link
데이터 분석 기술 블로그
Multivariate Distributions and Random Vectors (다변량 분포와 확률 벡터) 본문
데이터 사이언스/수리 통계학
Multivariate Distributions and Random Vectors (다변량 분포와 확률 벡터)
데이터분석가 이채은 2025. 4. 1. 02:00확률 벡터란?
확률 변수 여러 개를 벡터 형태로 묶은 것이 확률 벡터이다.
예:

이때 X는 n차원 확률 벡터 (random vector)
각 Xi는 확률 변수이고, 전체가 하나의 다변량 확률 분포를 따르게 된다.
다변량 분포(Multivariate Distribution)
확률 벡터 X의 분포는 다음과 같은 성분들로 구성된다:
- 결합 확률 밀도 함수 (Joint PDF):

- 주변 분포 (Marginal Distribution):
각 변수에 대해 나머지를 적분하여 구함.
- 조건부 분포 (Conditional Distribution):
일부 변수를 조건으로 고정한 후 나머지의 분포를 분석.
기댓값 벡터와 공분산 행렬
다변량 확률 벡터의 대표적인 두 가지 통계량은 다음과 같다:
기대값 벡터 (Mean Vector)

공분산 행렬 (Covariance Matrix)

- 공분산 행렬은 대칭 행렬이며, 양의 정부호(positive semi-definite)
- 머신러닝에서 데이터의 분산 방향(주성분 분석 등) 파악에 매우 중요
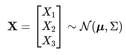
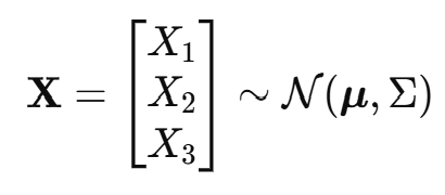
예제: 3차원 확률 벡터


'데이터 사이언스 > 수리 통계학' 카테고리의 다른 글
| Multinomial Distribution (다항 분포) (0) | 2025.04.03 |
|---|---|
| Multivariate Normal Distribution / Vector Gaussian (다변량 정규분포) (0) | 2025.04.02 |
| Independence (독립성) (0) | 2025.03.31 |
| Conditional Distributions and Bayes' Rule (조건부 분포와 베이즈 정리) (0) | 2025.03.30 |
| Marginal of Bivariate Normal (이변량 정규분포의 주변 분포) (0) | 2025.03.29 |