Tags
- SQL
- 스택
- 백트래킹
- Tree
- N:1
- distinct
- 완전검색
- M:N
- ORM
- DB
- 쟝고
- 통계학
- Article & User
- 그리디
- Vue
- delete
- migrations
- create
- 트리
- stack
- drf
- 이진트리
- outer join
- regexp
- 뷰
- Django
- Queue
- count
- 큐
- update
| 일 | 월 | 화 | 수 | 목 | 금 | 토 |
|---|---|---|---|---|---|---|
| 1 | 2 | 3 | ||||
| 4 | 5 | 6 | 7 | 8 | 9 | 10 |
| 11 | 12 | 13 | 14 | 15 | 16 | 17 |
| 18 | 19 | 20 | 21 | 22 | 23 | 24 |
| 25 | 26 | 27 | 28 | 29 | 30 | 31 |
Notice
Recent Posts
Link
데이터 분석 기술 블로그
Multinomial Distribution (다항 분포) 본문
Multinomial Distribution (다항 분포)
다항 분포(Multinomial Distribution)는 여러 개의 범주형 결과가 나올 수 있는 시행을 여러 번 반복했을 때의 분포이다.
정의
- 한 번의 시행에서 개의 결과 중 하나가 나옴 (예: 동전 2면 → 이항, 주사위 6면 → 다항).
- 시행을 n번 반복했을 때, 각 범주가 나온 횟수를 벡터로 표현.

확률 질량 함수 (PMF)

이항 분포:

은 K = 2일 때의 특별한 경우이다.
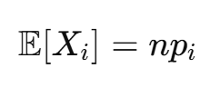
기댓값과 공분산
- 기댓값:

- 공분산:

서로 다른 범주 간에는 음의 공분산(한쪽이 많으면 다른 쪽은 적음)
예제
주사위(6면)를 10번 던졌을 때, 각 면이 나온 횟수의 분포는?

'데이터 사이언스 > 수리 통계학' 카테고리의 다른 글
| Multidimensional Change of Variables - Continuous (다변량 변수 변환 – 연속형) (0) | 2025.04.05 |
|---|---|
| Multidimensional Change of Variables - Discrete (다변량 변수 변환 – 이산형) (0) | 2025.04.04 |
| Multivariate Normal Distribution / Vector Gaussian (다변량 정규분포) (0) | 2025.04.02 |
| Multivariate Distributions and Random Vectors (다변량 분포와 확률 벡터) (0) | 2025.04.01 |
| Independence (독립성) (0) | 2025.03.31 |