Tags
- count
- Vue
- 스택
- DB
- drf
- Django
- 통계학
- Article & User
- N:1
- regexp
- distinct
- create
- M:N
- stack
- 큐
- 백트래킹
- 쟝고
- migrations
- 완전검색
- 트리
- Tree
- delete
- 이진트리
- 뷰
- update
- outer join
- Queue
- ORM
- SQL
- 그리디
| 일 | 월 | 화 | 수 | 목 | 금 | 토 |
|---|---|---|---|---|---|---|
| 1 | 2 | 3 | ||||
| 4 | 5 | 6 | 7 | 8 | 9 | 10 |
| 11 | 12 | 13 | 14 | 15 | 16 | 17 |
| 18 | 19 | 20 | 21 | 22 | 23 | 24 |
| 25 | 26 | 27 | 28 | 29 | 30 | 31 |
Notice
Recent Posts
Link
데이터 분석 기술 블로그
Multidimensional Change of Variables - Continuous (다변량 변수 변환 – 연속형) 본문
데이터 사이언스/수리 통계학
Multidimensional Change of Variables - Continuous (다변량 변수 변환 – 연속형)
데이터분석가 이채은 2025. 4. 5. 02:00기본 개념

→ 그러면 Y의 확률 밀도 함수는 다음과 같이 계산된다:

또는 반대로 표현하면:

야코비 행렬 (Jacobian Matrix)

행렬식 ∣ det J ∣은 변환된 공간의 면적/부피 보정 요인
(확률 보존을 위한 스케일 조정)
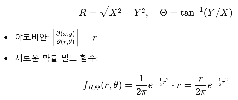
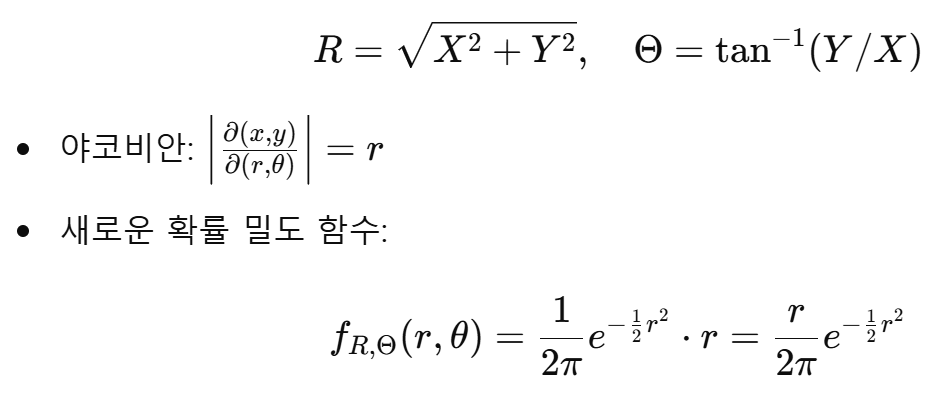
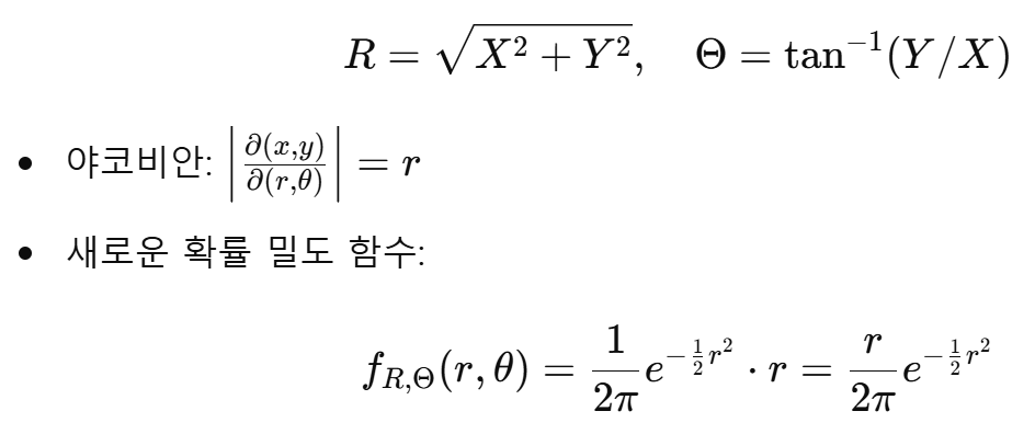
예제: 극좌표 변환

이걸 극좌표로 변환:

등방성 분포가 원형 대칭으로 잘 표현됨.
'데이터 사이언스 > 수리 통계학' 카테고리의 다른 글
| Expected Value and Mean (기댓값과 평균) (0) | 2025.04.07 |
|---|---|
| Convolution From Adding Random Variables (확률 변수의 합과 컨볼루션) (0) | 2025.04.06 |
| Multidimensional Change of Variables - Discrete (다변량 변수 변환 – 이산형) (0) | 2025.04.04 |
| Multinomial Distribution (다항 분포) (0) | 2025.04.03 |
| Multivariate Normal Distribution / Vector Gaussian (다변량 정규분포) (0) | 2025.04.02 |