Tags
- ORM
- 이진트리
- regexp
- N:1
- Article & User
- stack
- migrations
- outer join
- drf
- Queue
- 큐
- M:N
- 그리디
- 백트래킹
- count
- DB
- 완전검색
- 쟝고
- Django
- Tree
- SQL
- 통계학
- 트리
- delete
- create
- 뷰
- update
- Vue
- distinct
- 스택
| 일 | 월 | 화 | 수 | 목 | 금 | 토 |
|---|---|---|---|---|---|---|
| 1 | 2 | 3 | ||||
| 4 | 5 | 6 | 7 | 8 | 9 | 10 |
| 11 | 12 | 13 | 14 | 15 | 16 | 17 |
| 18 | 19 | 20 | 21 | 22 | 23 | 24 |
| 25 | 26 | 27 | 28 | 29 | 30 | 31 |
Notice
Recent Posts
Link
데이터 분석 기술 블로그
Convolution From Adding Random Variables (확률 변수의 합과 컨볼루션) 본문
데이터 사이언스/수리 통계학
Convolution From Adding Random Variables (확률 변수의 합과 컨볼루션)
데이터분석가 이채은 2025. 4. 6. 02:01문제 정의
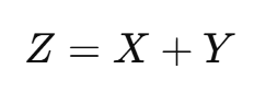
두 연속 확률 변수 X, 의 합:

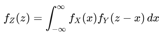
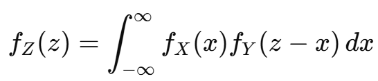
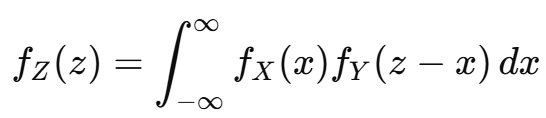
이때 Z의 확률 밀도 함수 fZ(z)는 다음과 같이 계산된다:

이게 바로 연속 확률 변수의 컨볼루션(convolution) 공식이다.

이산 확률 변수의 컨볼루션
이산형에서는 합 대신 합성곱(SUM of PMFs)을 사용한다:

→ 실제로는 두 PMF를 디스크리트 컨볼루션(discrete convolution)하는 것과 동일
예제 1: 균등 분포 U(0, 1) + U(0, 1)

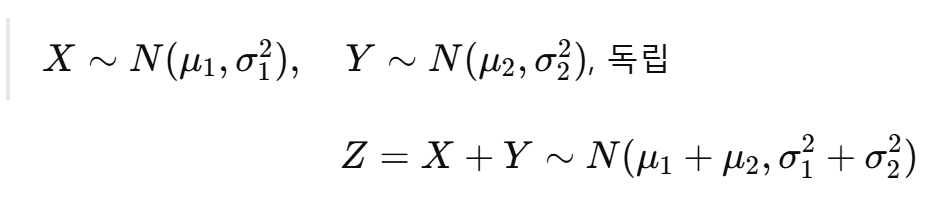
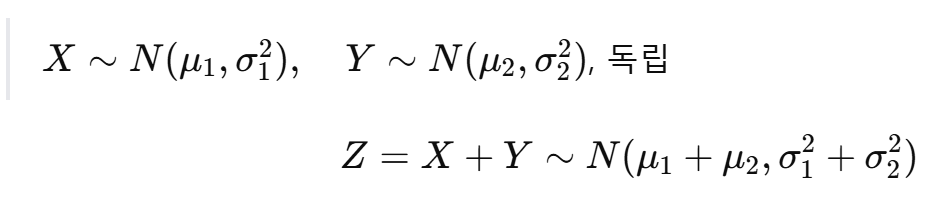
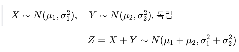
예제 2: 정규분포의 합

정규분포는 합을 취해도 정규분포 형태 유지
→ 굳이 적분할 필요 없이 공식으로 해결 가능
'데이터 사이언스 > 수리 통계학' 카테고리의 다른 글
| Properties of the Expected Value (기댓값의 성질) (0) | 2025.04.08 |
|---|---|
| Expected Value and Mean (기댓값과 평균) (0) | 2025.04.07 |
| Multidimensional Change of Variables - Continuous (다변량 변수 변환 – 연속형) (0) | 2025.04.05 |
| Multidimensional Change of Variables - Discrete (다변량 변수 변환 – 이산형) (0) | 2025.04.04 |
| Multinomial Distribution (다항 분포) (0) | 2025.04.03 |