Tags
- SQL
- 스택
- 백트래킹
- 완전검색
- count
- Django
- distinct
- 트리
- Vue
- Tree
- create
- 이진트리
- outer join
- Queue
- 그리디
- 큐
- stack
- regexp
- N:1
- 뷰
- 통계학
- 쟝고
- migrations
- ORM
- drf
- Article & User
- update
- M:N
- delete
- DB
| 일 | 월 | 화 | 수 | 목 | 금 | 토 |
|---|---|---|---|---|---|---|
| 1 | 2 | 3 | ||||
| 4 | 5 | 6 | 7 | 8 | 9 | 10 |
| 11 | 12 | 13 | 14 | 15 | 16 | 17 |
| 18 | 19 | 20 | 21 | 22 | 23 | 24 |
| 25 | 26 | 27 | 28 | 29 | 30 | 31 |
Notice
Recent Posts
Link
데이터 분석 기술 블로그
Multidimensional Change of Variables - Discrete (다변량 변수 변환 – 이산형) 본문
데이터 사이언스/수리 통계학
Multidimensional Change of Variables - Discrete (다변량 변수 변환 – 이산형)
데이터분석가 이채은 2025. 4. 4. 02:00이산형 확률 변수들이 여러 개일 때, 그들을 변환했을 경우 확률이 어떻게 바뀌는지 알아보자.
기본 개념
여러 개의 이산 확률 변수 X1, X2, …, Xn가 있을 때,
이들을 어떤 함수로 변환하여 새로운 확률 변수 Y1, Y2, …를 정의할 수 있어.

확률 계산 방식
변환된 변수 Y의 확률을 구하려면,
원래 변수 공간에서 Y = y를 만족하는 모든 (x1, x2, … ) 조합의 확률을 더해서 구해야 해 한다.

즉, 다대일 함수일 경우, 하나의 y에 해당하는 여러 x 값을 모두 더한다.
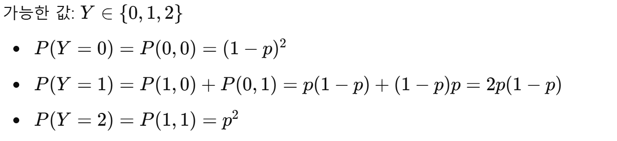
예제 1: 두 이진 변수의 합


Y ∼ Binomial(2, p)
→ 이항 분포로의 변환
예제 2: 다항 분포 → 범주 합치기

→ Y는 X1, X2 범주의 총합 (ex: "찬성 + 보통")
Y ∼ Binomial(n, p1 + p2)
'데이터 사이언스 > 수리 통계학' 카테고리의 다른 글
| Convolution From Adding Random Variables (확률 변수의 합과 컨볼루션) (0) | 2025.04.06 |
|---|---|
| Multidimensional Change of Variables - Continuous (다변량 변수 변환 – 연속형) (0) | 2025.04.05 |
| Multinomial Distribution (다항 분포) (0) | 2025.04.03 |
| Multivariate Normal Distribution / Vector Gaussian (다변량 정규분포) (0) | 2025.04.02 |
| Multivariate Distributions and Random Vectors (다변량 분포와 확률 벡터) (0) | 2025.04.01 |