Tags
- 쟝고
- 통계학
- 그리디
- Tree
- delete
- outer join
- SQL
- migrations
- Queue
- 뷰
- drf
- 이진트리
- 스택
- 완전검색
- update
- Vue
- 트리
- create
- stack
- distinct
- DB
- count
- 백트래킹
- Django
- M:N
- regexp
- 큐
- ORM
- Article & User
- N:1
| 일 | 월 | 화 | 수 | 목 | 금 | 토 |
|---|---|---|---|---|---|---|
| 1 | 2 | 3 | ||||
| 4 | 5 | 6 | 7 | 8 | 9 | 10 |
| 11 | 12 | 13 | 14 | 15 | 16 | 17 |
| 18 | 19 | 20 | 21 | 22 | 23 | 24 |
| 25 | 26 | 27 | 28 | 29 | 30 | 31 |
Notice
Recent Posts
Link
데이터 분석 기술 블로그
Dot Product (내적, 또는 스칼라 곱) 본문
내적(dot product)은 두 벡터를 곱해서 하나의 스칼라 값(숫자)을 만드는 연산입니다.
벡터의 방향성과 관련된 중요한 연산으로, 기하학적 의미와 계산 방법 모두 중요합니다.
수학적 정의
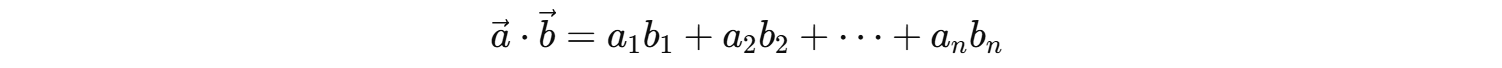
두 벡터

에 대해 내적은 다음과 같이 계산합니다:

즉, 같은 위치의 성분끼리 곱해서 모두 더합니다.
예시

기하학적 의미

'데이터 사이언스 > 선형대수학' 카테고리의 다른 글
| Normalizing a Vector (벡터 정규화) (0) | 2025.05.12 |
|---|---|
| Properties of Dot Product (내적의 성질) (0) | 2025.05.11 |
| Adding and Subtracting Vectors (벡터의 덧셈과 뺄셈) (0) | 2025.05.09 |
| What is a Vector? (벡터란 무엇인가?) (0) | 2025.05.08 |
| Infinitely Many Solutions (무수히 많은 해) (0) | 2025.05.07 |