Tags
- 쟝고
- drf
- Django
- 이진트리
- 큐
- ORM
- regexp
- Article & User
- stack
- Tree
- 완전검색
- Vue
- 트리
- distinct
- 그리디
- count
- outer join
- delete
- 스택
- SQL
- 통계학
- 뷰
- DB
- Queue
- N:1
- update
- M:N
- 백트래킹
- migrations
- create
| 일 | 월 | 화 | 수 | 목 | 금 | 토 |
|---|---|---|---|---|---|---|
| 1 | 2 | 3 | ||||
| 4 | 5 | 6 | 7 | 8 | 9 | 10 |
| 11 | 12 | 13 | 14 | 15 | 16 | 17 |
| 18 | 19 | 20 | 21 | 22 | 23 | 24 |
| 25 | 26 | 27 | 28 | 29 | 30 | 31 |
Notice
Recent Posts
Link
데이터 분석 기술 블로그
Moments, Skewness and Kurtosis (모멘트, 비대칭도, 첨도) 본문
확률 분포의 형태(shape)를 수치적으로 설명하는 도구인 모멘트(moment), 비대칭도(skewness), 첨도(kurtosis)는
분포가 평균을 기준으로 얼마나 치우쳐 있는지, 또는 꼭대기가 뾰족한지 평평한지 등을 알 수 있다.

모멘트(Moment)
k차 모멘트는 다음과 같이 정의된다:

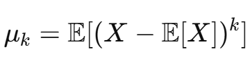
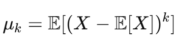
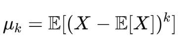
중심 모멘트(Central Moment)
중심을 기준으로 한 모멘트:

- : 분산
- 중심 모멘트는 분포의 중심(평균)을 기준으로 계산함
→ 모양을 설명하는 데 유리
비대칭도(Skewness)
분포의 좌우 비대칭 정도를 나타내는 수치:

첨도(Kurtosis)

'데이터 사이언스 > 수리 통계학' 카테고리의 다른 글
| Conditional Expectation (조건부 기댓값) (1) | 2025.04.12 |
|---|---|
| Covariance and Correlation (공분산과 상관계수) (0) | 2025.04.11 |
| Variance (분산) (0) | 2025.04.09 |
| Properties of the Expected Value (기댓값의 성질) (0) | 2025.04.08 |
| Expected Value and Mean (기댓값과 평균) (0) | 2025.04.07 |