Tags
- drf
- ORM
- Django
- migrations
- 그리디
- Vue
- outer join
- M:N
- 이진트리
- 뷰
- 백트래킹
- Tree
- update
- 큐
- SQL
- Queue
- regexp
- 트리
- Article & User
- distinct
- delete
- 통계학
- N:1
- 스택
- count
- stack
- 쟝고
- DB
- create
- 완전검색
| 일 | 월 | 화 | 수 | 목 | 금 | 토 |
|---|---|---|---|---|---|---|
| 1 | 2 | 3 | ||||
| 4 | 5 | 6 | 7 | 8 | 9 | 10 |
| 11 | 12 | 13 | 14 | 15 | 16 | 17 |
| 18 | 19 | 20 | 21 | 22 | 23 | 24 |
| 25 | 26 | 27 | 28 | 29 | 30 | 31 |
Notice
Recent Posts
Link
데이터 분석 기술 블로그
The Exponential Distribution (지수 분포) 본문
지수 분포
지수 분포(Exponential Distribution)는 어떤 사건이 발생할 때까지 걸리는 시간을 모델링하는 확률 분포이다.
즉, "다음 사건이 언제 발생할 것인가?"를 예측할 때 사용된다.
- 사건이 연속적으로 독립적으로 발생할 때, 다음 사건이 발생하기까지의 시간을 모델링하는 분포.
- 평균 발생률(λ\lambda)을 기반으로 사건이 언제 일어날지를 예측.

지수 분포가 적용되는 예시
- 버스가 도착할 때까지의 대기 시간
- 콜센터에서 다음 전화가 걸려오기까지의 시간
- 방사성 물질이 붕괴되기까지 걸리는 시간
- 기계가 고장 나기까지의 시간 (수명 분석)
확률 밀도 함수 (PDF)

여기서:
- λ = 사건이 단위 시간당 발생하는 평균 횟수 (rate parameter)
- x = 사건이 발생할 때까지의 시간
지수 분포는 시간이 지날수록 사건이 발생할 확률이 점점 낮아지는 특징이 있다.
누적 분포 함수 (CDF)

즉, 시간이 지나면 누적 확률이 점점 1에 가까워진다.
(어느 순간에는 반드시 사건이 발생할 것이기 때문이다.)
기댓값과 분산

지수 분포의 특징
기억 없음 성질 (Memoryless Property)

- 즉, 과거의 정보가 현재의 확률에 영향을 미치지 않음!
- 예: 버스를 10분 동안 기다렸다고 해서, 다음 버스가 곧 올 확률이 높아지는 게 아님.
포아송 분포와 관계있음
이면, 시간 t 동안 번 사건이 발생할 확률은 포아송 분포 Poisson(λt)를 따름.
지수 분포의 활용
- 대기 시간 분석: 버스, 택시, 고객 서비스 센터에서 다음 고객이 올 때까지의 시간 모델링
- 제품 수명 예측: 기계나 부품이 언제 고장 날지를 예측 (신뢰성 분석)
- 생물학적 과정: 방사성 물질의 붕괴 시간 예측
지수 분포는 "다음 사건이 언제 발생할지"를 예측하는 데 매우 유용하다.
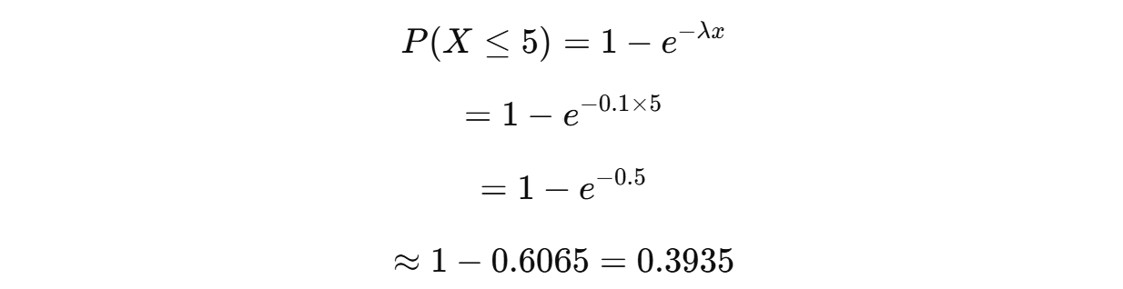
예제: 버스 도착 시간
예제: 버스가 평균적으로 10분에 한 번씩 도착한다고 하자.
즉, 단위 시간당 도착하는 횟수는 λ = 1/10 = 0.1
5분 이내에 버스가 도착할 확률은?
공식 적용

즉, 5분 이내에 버스가 도착할 확률은 약 39.35%이다.
'데이터 사이언스 > 수리 통계학' 카테고리의 다른 글
| The Laplace Distribution (라플라스 분포, 이중 지수 분포) (0) | 2025.03.26 |
|---|---|
| The Normal Distribution (정규 분포, Gaussian Distribution) (2) | 2025.03.25 |
| The Uniform Distribution (균등 분포) (0) | 2025.03.23 |
| Probability Density Function and Cumulative Distribution Function (확률 밀도 함수와 누적 분포 함수) (0) | 2025.03.22 |
| Continuous Random Variables and Continuous Distributions (연속 확률 변수와 연속 확률 분포) (0) | 2025.03.21 |