Tags
- 그리디
- 통계학
- Vue
- distinct
- delete
- N:1
- stack
- outer join
- Django
- DB
- create
- 백트래킹
- 쟝고
- update
- Tree
- Queue
- 완전검색
- 트리
- drf
- regexp
- migrations
- 이진트리
- SQL
- Article & User
- M:N
- 스택
- 큐
- count
- 뷰
- ORM
| 일 | 월 | 화 | 수 | 목 | 금 | 토 |
|---|---|---|---|---|---|---|
| 1 | 2 | 3 | ||||
| 4 | 5 | 6 | 7 | 8 | 9 | 10 |
| 11 | 12 | 13 | 14 | 15 | 16 | 17 |
| 18 | 19 | 20 | 21 | 22 | 23 | 24 |
| 25 | 26 | 27 | 28 | 29 | 30 | 31 |
Notice
Recent Posts
Link
데이터 분석 기술 블로그
Matrix Addition and Scalar Multiplication (행렬의 덧셈과 스칼라 곱) 본문
데이터 사이언스/선형대수학
Matrix Addition and Scalar Multiplication (행렬의 덧셈과 스칼라 곱)
데이터분석가 이채은 2025. 5. 15. 15:01행렬의 덧셈과 스칼라 곱은 기초적인 행렬 연산으로, 각 원소별로 간단하게 계산됩니다.
다만, 연산이 가능하려면 크기(차원)가 맞아야 한다는 점이 중요합니다.
- 스칼라 곱은 벡터의 크기 조절과 유사하게, 행렬 전체의 크기를 조절하는 연산입니다.
- 덧셈과 스칼라 곱은 행렬이 형성하는 벡터 공간(vector space)의 기본 연산이며, 이후 배울 선형 결합(linear combination), 선형 독립(linear independence) 개념의 기초가 됩니다.
행렬의 덧셈
두 행렬 A, B가 같은 크기일 때, 덧셈은 같은 위치의 원소끼리 더해서 새 행렬을 만듭니다.

예시

※ 두 행렬의 크기(행 × 열)가 다르면 덧셈 불가능
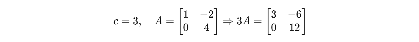
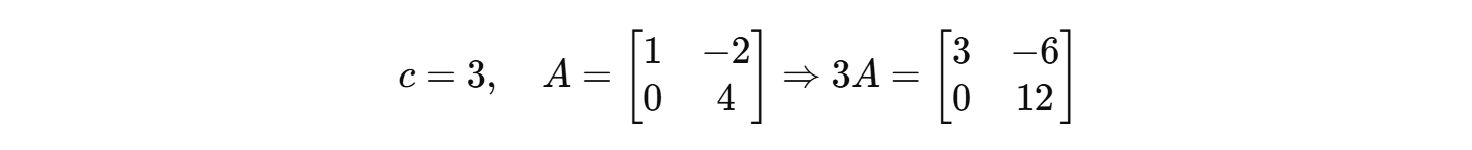
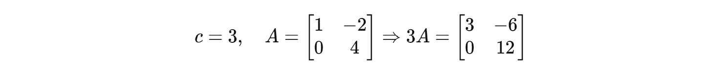
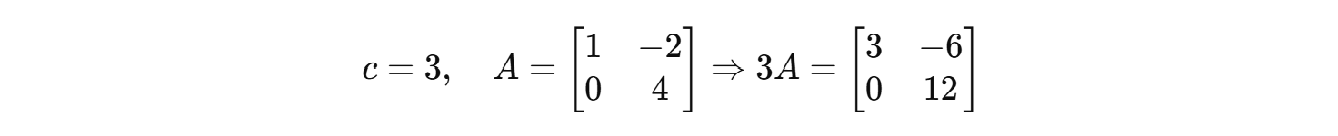
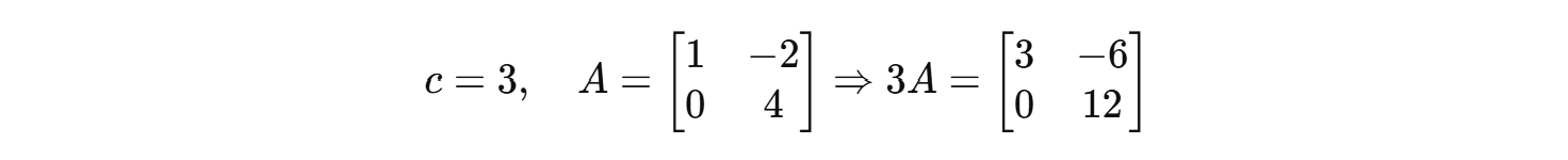
스칼라 곱
스칼라(하나의 숫자) c와 행렬 A를 곱할 때는, 행렬의 모든 원소에 c를 곱합니다.

예시

'데이터 사이언스 > 선형대수학' 카테고리의 다른 글
| Properties of Matrix Multiplication (행렬 곱의 성질) (0) | 2025.05.17 |
|---|---|
| Matrix Multiplication (행렬 곱) (0) | 2025.05.16 |
| What is a Matrix? (행렬이란 무엇인가?) (0) | 2025.05.14 |
| The Vector Normal to a Plane (평면의 법선 벡터) (0) | 2025.05.13 |
| Normalizing a Vector (벡터 정규화) (0) | 2025.05.12 |