Tags
- N:1
- update
- ORM
- 그리디
- Vue
- stack
- migrations
- Django
- 이진트리
- Tree
- 쟝고
- regexp
- 큐
- delete
- distinct
- M:N
- outer join
- 완전검색
- count
- Article & User
- drf
- 백트래킹
- SQL
- 트리
- 스택
- 통계학
- DB
- 뷰
- create
- Queue
| 일 | 월 | 화 | 수 | 목 | 금 | 토 |
|---|---|---|---|---|---|---|
| 1 | ||||||
| 2 | 3 | 4 | 5 | 6 | 7 | 8 |
| 9 | 10 | 11 | 12 | 13 | 14 | 15 |
| 16 | 17 | 18 | 19 | 20 | 21 | 22 |
| 23 | 24 | 25 | 26 | 27 | 28 | 29 |
| 30 |
Notice
Recent Posts
Link
데이터 분석 기술 블로그
Chain Rule of Probability (확률의 곱 규칙) 본문
확률의 곱 규칙(Chain Rule of Probability)은 여러 확률 변수의 결합 확률(joint probability)을 조건부 확률로 분해해서 계산할 수 있도록 해주는 핵심 공식이다.

두 사건이 동시에 일어날 확률은
한 사건이 주어졌을 때 다른 사건이 일어날 조건부 확률 × 그 사건의 확률
- “전체 사건”을 순차적으로 조건부로 분해해서
- 모든 정보가 누적된 상태에서 다음 확률을 곱해 나가는 구조
→ 확률을 계산할 수 없는 복잡한 문제도
→ 작은 조건부 단위로 나눠서 계산 가능
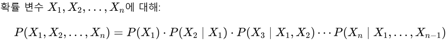
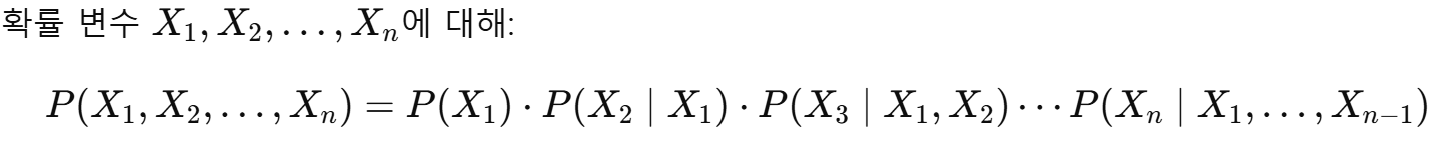
다변수의 일반화

결합 확률 = 조건부 확률의 곱
'데이터 사이언스 > 수리 통계학' 카테고리의 다른 글
| The Beta Distribution (베타 분포) (0) | 2025.04.30 |
|---|---|
| The Gamma Distribution (감마 분포) (0) | 2025.04.29 |
| Central Limit Theorem (중심극한정리, CLT) (0) | 2025.04.28 |
| Convergence In Distribution (분포 수렴) (0) | 2025.04.27 |
| Strong Law of Large Numbers (강한 대수의 법칙, SLLN) (0) | 2025.04.26 |